模态框(Modal)标题

在这里添加一些文本

模态框(Modal)标题

  • 期刊
  • 文章
  • 图表
  • 检索
EN中文
  • 首页
  • 关于期刊
    • 期刊定位与发展现状
    • 数据库收录
    • 期刊荣誉
  • 编委会
  • 投稿指南
  • 期刊政策
  • 期刊订阅
  • 联系我们
EN中文

图/表 详细信息

融合图自编码器与GRU的城市盗窃犯罪时空分布预测模型
赵丹, 杜萍, 刘涛, 令振飞
地球信息科学学报, 2023, 25(7): 1448-1463.   DOI: 10.12082/dqxxkx.2023.220584

图6 GRU 模型结构
本文的其它图/表
  • 图1 城市盗窃犯罪时空分布预测研究框架
  • 表1 实验数据
  • 图2 兰州市主城区人口密度分布
  • 表2 POI分类
  • 图3 卡尔曼滤波优化效果示例
  • 图4 街区时序图结构构建
  • 图5 GAE模型结构
  • 图7 GAERNN模型结构
  • 图8 GAERNN模型的训练损失曲线
  • 图9 兰州市主城区实际盗窃犯罪分布与各模型预测分布
  • 表3 各模型不同月份的预测误差
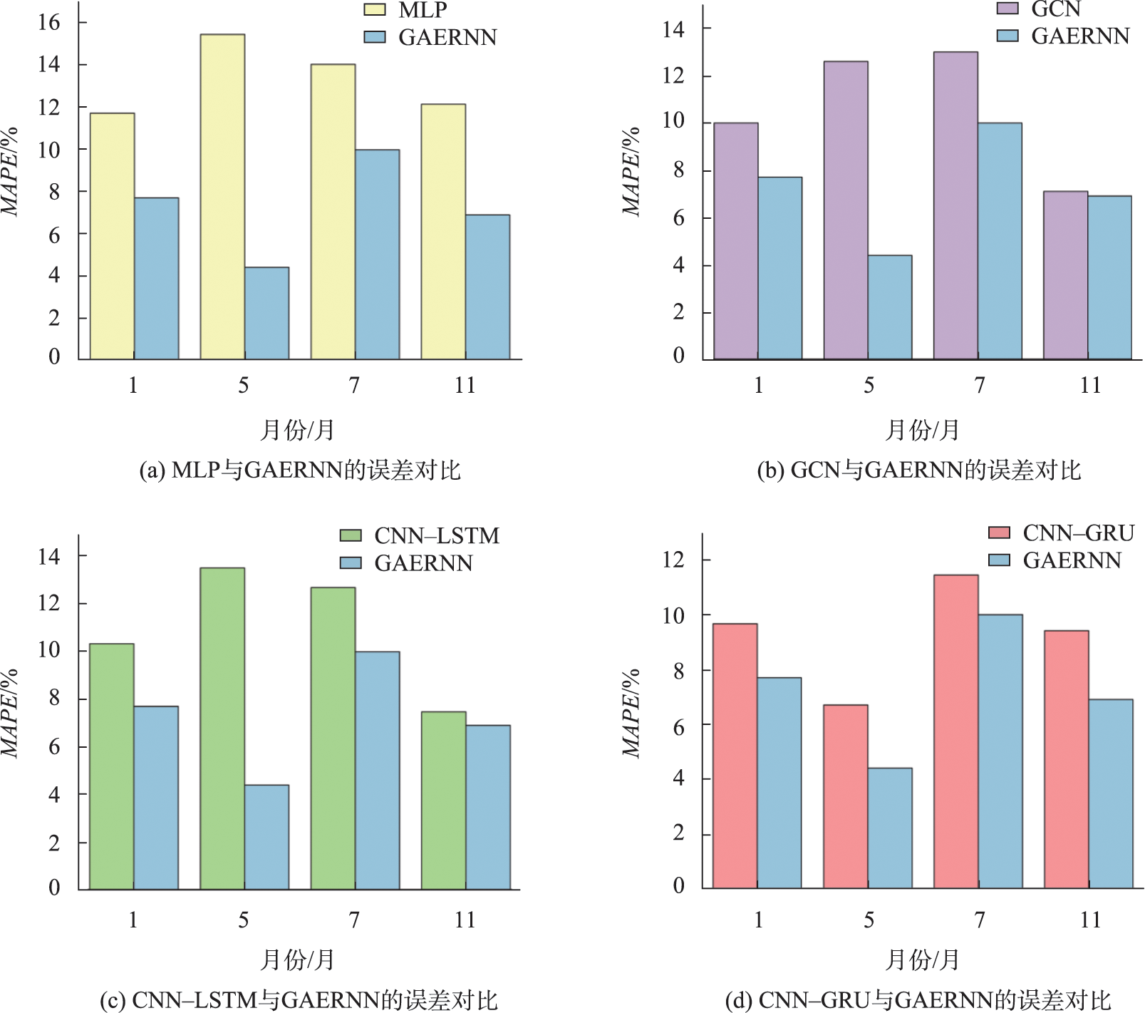
  • 图10 GAERNN与基准模型的盗窃犯罪预测误差对比
  • 表4 GAERNN及其变体模型误差统计
  • 图11 盗窃犯罪预测变体模型误差对比
  • 图12 基于格网尺度的实际盗窃犯罪分布与各模型预测分布
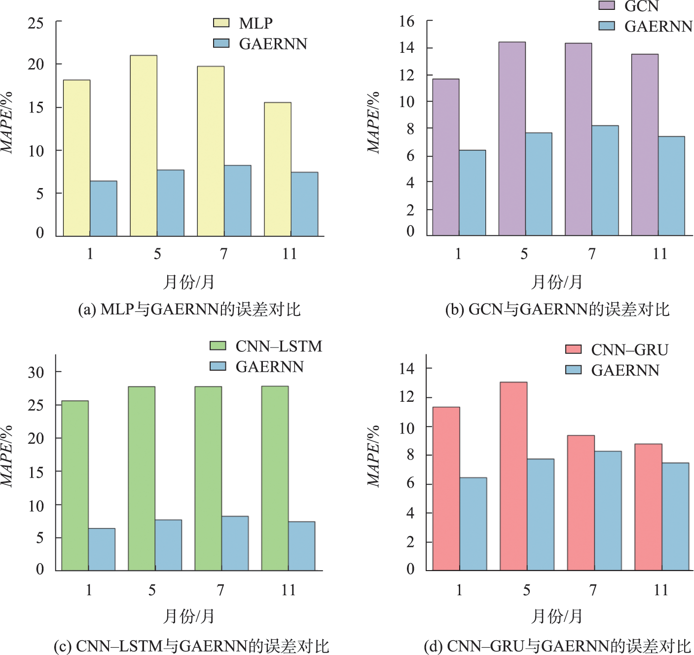
  • 图13 格网尺度下GAERNN与基准模型的盗窃犯罪预测误差对比

网站版权 © 《地球信息科学学报》编辑部
地址:北京朝阳区大屯路甲11号中国科学院地理科学与资源研究所《地球信息科学学报》编辑部 
邮编:100101
电话:010-64889219,010-64888891 
E-mail:dqxxkx@igsnrr.ac.cn
本系统由北京玛格泰克科技发展有限公司设计开发