遥感科学与应用技术

基于Landsat-8 TIRS的大气参数快速估算方法

  • 高文升 , 1, 2 ,
  • 张雨泽 3 ,
  • 房世峰 2 ,
  • 杨锋杰 1 ,
  • 吴骅 , 2*, *
展开
  • 1. 山东科技大学,青岛 266590
  • 2. 中国科学院地理科学与资源研究所 资源与环境信息系统国家重点实验室,北京 100101
  • 3. 中国科学院大学,北京 100049
*通讯作者:吴 骅(1980-),男,江苏无锡人,博士,副研究员,主要从事热红外定量遥感建模与真实性检验。 E-mail: wuhua@igsnrr.ac.cn

作者简介:高文升(1989-),男,山东潍坊人,硕士生,主要从事热红外地表温度反演。E-mail:

收稿日期: 2016-04-05

  要求修回日期: 2016-06-14

  网络出版日期: 2017-01-13

基金资助

国家自然科学基金面上项目(41471297、41571352)

国家自然科学基金重点项目(41231170)

A Fast Estimation Method of Atmospheric Parameters for Landsat-8 TIRS Data

  • GAO Wensheng , 1, 2 ,
  • ZHANG Yuze 3 ,
  • FANG Shifeng 2 ,
  • YANG Fengjie 1 ,
  • WU Hua , 2, *
Expand
  • 1. Shandong University of Science and Technology, Qingdao 266590, China
  • 2. State Key Laboratory of Resources and Environmental Information System, Institute of Geographic Sciences and Natural Resources Research, CAS, Beijing 100101, China
  • 3. University of Chinese Academy of Sciences, Beijing 100049, China
*Corresponding author: WU Hua, E-mail:

Received date: 2016-04-05

  Request revised date: 2016-06-14

  Online published: 2017-01-13

Copyright

《地球信息科学学报》编辑部 所有

摘要

Landsat-8卫星设计有2个热红外波段,但由于第11波段存在定标问题,无法用于定量研究,所以基于Landsat-8的地表温度反演算法目前仍以单通道为主。单通道算法反演地表温度需先已知地表比辐射率并完成大气校正的工作。在大气校正方面,现有的算法主要以传统方法为主,即通过大气辐射传输模型或经验-半经验公式的方式获取大气参数。但是,传统的经验-半经验的方法并不建立在物理机制上,其自身存在一定局限性;而大气辐射传输模型的方法虽然精度更高,但执行效率较低,不适用于业务化的产品生产。本文针对现有大气估算方法的不足,提出了一种基于Landsat-8单通道地表温度反演的大气参数快速估算方法。在水汽范围0~6 g/cm2内,大气参数快速估算方法的精度与MODTRAN精度相当,大气透过率RMSE为0.003;大气上行辐亮度RMSE为0.0004;大气下行辐亮度RMSE为0.0004。相较于传统的大气参数估算方法,本文提出的大气参数快速估算方法,不仅可以脱离大气辐射传输模型使用,而且具有与其相当的估算精度,执行效率更高,适用性更广。

本文引用格式

高文升 , 张雨泽 , 房世峰 , 杨锋杰 , 吴骅 . 基于Landsat-8 TIRS的大气参数快速估算方法[J]. 地球信息科学学报, 2017 , 19(1) : 110 -116 . DOI: 10.3724/SP.J.1047.2017.00110

Abstract

Landsat-8 satellite was designed to have two thermal infrared bands, TIRS band 10 and band 11. But USGS (United States Geological Survey) pointed out that some calibration errors would be found with the band 11. It is recommended to use only the TIRS band 10 in quantitative research rather than using two channels. When using a single channel algorithm in retrieving land surface temperature (LST), we must priorly have the surface emissivity and have the atmospheric correction processed. The traditional methods used in the atmospheric correction depend on the empirical relationships or atmospheric radiative transfer model. However, both of the two methods have deficiencies, for example, as the empirical method depends highly on the training data, it is incapable under certain conditions. On the other hand, the method that based on the atmospheric radiative transfer model has to run the designated codes each time, which is not an appropriate choice for producing LST. In this paper, we propose a new atmospheric correction model applied to the single channel method with Landsat-8 TIRS band 10 data. The results show that the RMSE (Root Mean Squared Error) of the total transmission is 0.003, the RMSE of the upwelling radiance is 0.0004 and the RMSE of the downwelling radiance is 0.0004. Compare with the traditional methods, the proposed model bases on the physical mechanism of atmospheric radiative transfer model and has a higher accuracy. Moreover, the proposed model could also be used without the help of any atmospheric radiative transfer model. That is, this model will have a better prospect of application.

1 引言

地表温度作为一个重要的地球物理参数,在地-气间的物质和能量交换中扮演十分重要的角色,其对地球上自然资源的生成、植被的生长、气候变化和人类日常生产生活都有重要的影响。近几十年来,如何获取地表温度已经引起了越来越多学者的兴趣,而热红外遥感技术作为获取地表热状况信息的重要手段之一,也得到迅速了的发展。目前,针对不同的传感器数据,各学者提出了多种地表温度反演算法,如针对Landsat TM的单通道算 法[1-4]针对AVHRR和MODIS的分裂窗算法[5-7]和针对ASTER的温度和发射率分离算法[8-11]等。
从最早的Landsat TM开始,Landsat系列卫星便作为地表温度反演常用的遥感数据之一。如今,随着系列卫星的不断更新换代,Landsat系列卫星已能够提供大量长时间序列的热红外遥感数据。最新的Landsat-8卫星于2013年发射成功,其搭载的TIRS(Thermal Infrared Sensor)被认为是性能最出色的热红外传感器,共设计了2个热红外通道(第10波段和第11波段)。但是,美国地质调查局USGS(United States Geological Survey)指出,由于Landsat-8卫星TIRS第11波段定标存在问题,利用双通道进行定量研究(如分裂窗算法反演地表温度)会导致较大误差[12],所以目前仍以单通道算法作为其主要的地表温度反演方法,如Jiménez-Muñoz单通道算法和覃志豪单窗算法[13]等。单通道算法是在已知地表比辐射率和已进行精准大气校正的前提下,利用单一的热红外通道进行地表温度反演的算法。为了保证地表温度遥感反演的精度不受传感器定标的影响,现有Landsat-8地表温度的遥感反演方法仍沿用了传统方法来估算大气参数,即通过大气辐射传输模型或经验-半经验公式的方式来消除大气的影响,进而获取离地辐亮度。但是,传统的经验-半经验的方法并不建立在一定的物理机制上,其存在明显的局限性,精度有限[14];而大气辐射传输模型的方法虽然可提供较高精度的大气校正,但需要重复执行模型代码程序,运算耗时,执行效率低,并不适合地表温度产品的业务化生产。
基于上述问题,本文提出了一种基于Landsat-8单通道地表温度反演的大气参数快速估算方法。相较于传统的大气参数估算方法,本文提出的方法以大气辐射传输的物理机制为基础,不仅可以脱离大气辐射传输模型使用,而且具有与其相当的大气参数估算精度,执行效率更高,适用性更广。

2 原理和方法

2.1 热红外辐射传输方程

在热红外波段的地-气辐射传输过程中,地表和大气是主要的辐射源,而太阳辐射的能量贡献很小,可以忽略不计[15]。因此,在晴空局地热平衡状态下,热红外波段的辐射传输方程可以近似的表示为:
B i ( T i ) = t i ( θ ) [ ε i ( θ ) B i ( T s ) + ( 1 - ε i ( θ ) ) L atm i ] + L atm i ( θ ) (1)
式中: θ 是观测天顶角; T s 是地表温度; T i 是通道 i 的星上亮温; t i ( θ ) 是通道 i 在观测角度 θ 时的大气透过率; ε i ( θ ) 是通道 i 在观测角度 θ 时的地表发射率; B i ( T i ) 是传感器接收到的星上辐亮度; B i ( T s ) 是温度 T s 对应的黑体发射的辐亮度; L atm i L atm i 是通道 i 的大气上行辐亮度和下行辐亮度。
在针对卫星遥感数据的反演过程中,通常采用通道等效值的方式进行计算,以辐亮度的计算为例,其通道等效值的计算公式可表示为:
L i = λ 1 λ 2 L i λ f i ( λ ) λ 1 λ 2 f i ( λ ) (2)
式中: L i 代表传感器接收的通道辐亮度; f i ( λ ) 为通道i的响应函数。

2.2 大气参数快速估算方法

Ellicott[16]针对MODIS热红外数据尝试开展大气参数的快速估算方法研究,该大气参数快速估算方法需大气廓线信息作为输入,包括廓线每一层的高程、气压、温度和湿度等。由此分别计算每一层的大气透过率、大气上行辐亮度和大气下行辐亮度;最后计算得到廓线在大气光学路径的大气透过率、大气上行辐亮度和大气下行辐亮度。
(1)单层透过率
热红外波段的大气透过率主要是由气体吸收决定,由于大气分子和悬浮颗粒的直径要比热红外波段的波长小很多,根据米氏散射原理,在大多数情况下分子散射很微弱,气溶胶的影响可以忽略,因此本文没有考虑这2项。同时,由于水汽是热红外波段的主要吸收因子,并且水汽存在连续吸收的现象。因此,对于通道 i 单层 l 的光学厚度可近似地看作由水汽线性吸收、水汽连续吸收和其他气体吸收3部分的贡献组成。
τ l , i = τ l , i H 2 O + τ l , i H 2 Oc + τ l , i o t h er (3)
式中: τ l , i 为通道 i 单层 l 的总光学厚度; τ l , i H 2 O 为线性水汽的光学厚度; τ l , i H 2 Oc 为连续水汽的光学厚度; τ l , i ot h er 为其他气体的光学厚度。
其中,线性水汽的光学厚度 τ l , i H 2 O 的计算公式为:
τ l , i H 2 Oc = exp ( a 0 , H 2 O , i + a 1 , H 2 O , i ρ H 2 O + a 2 , H 2 O , i ρ H 2 O 2 ) (4)
ρ H 2 O = log ρ 0 , H 2 O cos ( θ v ) (5)
式中: ρ 0 , H 2 O l 层垂直路径上的水汽含量/(g/m2); θ v 是观测天顶角; a 0 , H 2 O , i , a 1 , H 2 O , i a 2 , H 2 O , i 是与l层的等效温度 T l 和等效压强 P l 相关的波段系数。
其他气体的光学厚度 τ l , i ot h er 的计算公式为:
τ l , i ot h er = exp ( a 0 , ot h er , i ) ρ ot h er a 1 , ot h er , i (6)
ρ ot h er = D cos ( θ v ) (7)
式中:D l 层的厚度/km; a 0 , ot h er , i a 1 , ot h er , i 是与这一层等效温度 T l 和等效压强 P l 相关的波段系数,可通过回归的方式拟合得到。需要指出的是,由于水汽连续吸收是观测到的吸收,这种吸收不是洛伦兹线造成的,它是吸收的实际观测值和理论计算值的插值,即水汽连续吸收是理论无法解释却真实存在的。因此,在本文的大气参数快速估算方法中,直接使用了MODTRAN中的CKD模型来计算水汽连续吸收的光学厚度[17]
由于文中的计算结果皆为光学厚度 τ i ,而在计算大气上行辐射与大气下行辐射时需使用透过率值,所以需要将光学厚度转换为透过率以方便计算,透过率与光学厚度的之间的转换关系为 t i = e - τ i
(2)单层上行辐亮度和下行辐亮度
假设在局地热平衡状态下单层大气是半透明的介质,根据基尔霍夫定律,单层的大气上行辐射可以表示为:
L l , atm i = ( 1 - t l , i ) L i ( T l , atm _ eq ) (8)
式中: L i 是在该层等效温度 T l , atm _ eq 下的普朗克函数; T l , atm _ eq 是单层的等效温度,可根据这一层顶部和底部温度加权得到,公式为:
T l , atm _ eq = w T l , bot + ( 1 - w ) T l , top (9)
式中:topbot分别代表这一层的顶部和底部;w为权重因子,本文w=0.5。
与大气上行辐射相似,根据基尔霍夫定律,大气的下行辐射可以表示为:
L l , atm i = ( 1 - t l , i ( θ emis ) ) L i ( T l , atm _ eq ) (10)
式中: θ emis 是等效观测天顶角,假设大气下行辐射各向同性, θ emis =53°是最佳选择[18]
(3)总的透过率和上下行辐射
假设整层大气被分成L层,1是最底层,L是最顶层。沿着光学路径的总透过率ti可以通过大气单层透过率(tl,i)的逐项乘积得到,计算公式为:
t i = Π l = 1 L t l , i (11)
对于大气上行辐射,需要把所有层的贡献进行累加,最终得到的总的大气上行辐射计算公式为:
L atm i = l = 1 L t l + 1 L , i L l , atm i (12)
式中: t l + 1 L , i 是从大气第l+1层到大气层顶部L层的透过率。
t l + 1 L , i = Π k = l + 1 L t k , i (13)
同样,对于大气下行辐射,也是通过所有层的累加得到,总的大气下行计算公式为:
L atm i = l = 1 L t 1 l - 1 , i ( θ emis ) L l , atm i (14)
式中: t 1 l - 1 , i 是从大气第1层到大气第l-1层的透过率, t 1 0 , i ( θ emis ) = 1 ; θ emis 是等效观测天顶角; L l , atm i 是单层的大气下行辐射。

3 数据介绍

3.1 大气廓线库

TIGR大气廓线库包含全球不同地区不同季节的探空资料[19],最新的TIGR 3共有2311条廓线,涵盖了全球范围的典型大气廓线,包括热带廓线,中纬度夏季廓线、中纬度冬季廓线、极地夏季廓线和极地冬季廓线。TIGR 3每条廓线共有40层,包括压强、温度、湿度和臭氧廓线。
在拟合系数时,为了将尽可能多的廓线情况考虑进去,本文共选用了TIGR 3中的90条典型晴空大气廓线参与计算;而在精度评价中,使用了除系数拟合所用廓线外的全部856条晴空大气廓线。廓线的温度、水汽分布如图1所示。
Fig. 1 Temperature and water vapor information of the validation data and training data

图1 验证数据与训练数据温度、水汽信息

3.2 Landsat 8卫星介绍

Landsat-8卫星于2013年2月11日发射,携带有OLI陆地成像仪和TIRS热红外传感器,Landsat-8上携带的TIRS载荷,是有史以来最先进,性能最好的热红外传感器,共包括2个单独的热红外波段(表1)。Landsat-8 TIRS 2个通道的响应函数如图2所示。
Fig. 2 Channel response function of Landsat-8 TIRS

图2 Landsat-8 TIRS通道响应函数

Tab. 1 Spectral ranges and pixel sizes of TIRS bands

表1 TIRS通道参数

波段名称 中心波长
/μm
最小波段
边界/μm
最大波段
边界/μm
空间
分辨率/m
Band 10 TIRS 1 10.9 10.6 11.2 100
Band 11 TIRS 2 12.0 11.5 12.5 100

4 算法精度评价

本部分工作主要分为2部分:大气参数快速估算方法的建立以及大气参数快速估算方法的精度评价。整体技术路线如图3所示。
Fig. 3 The establishment and verificationprocess of the proposed algorithm

图3 算法的建立与验证流程

4.1 方法建立

本文所提出的大气参数快速估算方法主要针对Landsat-8的TIRS 10单通道,其方法建立的过程如下:
(1)根据TIGR大气廓线的特征建立大气廓线层数配置查找表(表2);
(2)利用步骤(1)中的大气廓线配置查找表,结合MODTRAN模型计算得到各廓线逐层逐波数的线性水汽、连续水汽和其他气体的透过率;
(3)利用TRIS 10的通道响应函数计算得到逐层线性水汽、连续水汽及其他气体的通道等效透过率;
(4)采用最小二乘法的方法拟合各公式系数。其中线性水汽系数 a 0 , H 2 O , i 拟合结果如图4所示;
(5)考虑到方法建立过程中存在的假设会导致大气参数的估算存在偏差,因此采用一元二次方程进一步改正大气参数的估算结果。
Fig. 4 H2O absorption coefficient a0,H2O,i

图4 线性水汽系数a0,H2O,i

Tab. 2 Atmospheric layer configuration

表2 大气廓线层数配置

压强/hPa 温度/K 层底高度/km 相对湿度范围/%
层底压强 层顶压强 范围 步长
37.04 24.79 180~320 10 24.46 0,10, 30, 50, 70, 90
45.73 37.04 180~320 10 22.83
56.46 45.73 180~320 10 21.20
69.71 56.46 180~320 10 19.59
86.07 69.71 180~320 10 18.01
106.27 86.07 180~320 10 16.47
131.20 106.27 180~320 10 14.98
161.99 131.20 180~320 10 13.48
200.00 161.99 180~320 10 11.98
222.65 200.00 180~320 10 11.22
247.87 222.65 180~320 10 10.46
275.95 247.87 180~320 10 9.71
307.20 275.95 180~320 10 8.97
341.99 307.20 180~320 10 8.22
380.73 341.99 180~320 10 7.47
423.85 380.73 180~320 10 6.71
471.86 423.85 180~320 10 5.94
525.00 471.86 180~320 10 5.15
584.80 525.00 180~320 10 4.35
651.04 584.80 180~320 10 3.53
724.78 651.04 180~320 10 2.69
800.00 724.78 180~320 10 1.91
848.69 800.00 180~320 10 1.44
900.33 848.69 180~320 10 0.96
955.12 900.33 180~320 10 0.48
1013.00 955.12 180~320 10 0.00
需要指出的是,大气参数快速估算方法中的指数函数是非线性的,且水汽和其他气体吸收系数的光谱并不是平滑的,直接把光谱积分从辐射值转移到光学厚度,会导致最终估算的大气总透过率、大气上行辐亮度和大气下行辐射亮度存在一定误差;同时,由于大气下行辐亮度的最佳观测角度假设为53°,而这些可能会与实际最佳角度存在偏差,导致模型的精度下降。鉴于以上问题,本文采用式(15)对上述问题进行校正。
X L , i = a 0 + a 1 x L , i + a 2 x L , i 2 (15)
式中: x L , i 为改正前采用大气参数快速估算方法计算得到的大气透过率、大气上行辐亮度、大气下行辐亮度; X L , i 为校正后的大气透过率、大气上行辐亮度、大气下行辐亮度;系数a0a1a2是结合MODTRAN模拟数据拟合获取的改正系数。

4.2 精度评价

为了评价大气参数快速估算方法的精度,本文从TIGR中选择了除训练廓线外的856条晴空大气廓线用于验证,其评价过程如下:
(1)从TIGR廓线中选取验证廓线,利用MODTRAN模型进行计算,并从计算结果中提取所需大气参数;
(2)利用TRIS 10的通道响应函数将步骤(1)中的各项大气参数转换为TIRS的通道等效值,得到总透过率、大气上行辐射、大气下行辐射;
(3)利用大气参数快速估算方法计算各廓线逐层线性水汽、连续水汽及其他气体的通道透过率;
(4)计算各廓线的总透过率、大气上行辐射、大气下行辐射;
(5)对比分析大气参数快速估算方法及MODTRAN的计算结果并进行精度评价。
在评价大气参数的准确性时本文采用了平均偏差(Bias)和均方根误差(RMSE)作为评价指标。平均偏差是所有估算数据(ei)与真实数据(oi)误差之和的平均值,计算公式为:
Bias = i = 1 n ( e i - o i ) / n (16)
式中:ei是估算数据,即大气参数快速估算方法计算的结果;oi是真实数据,即MODTRAN模拟的结果。
均方根误差表明了估算数据(ei)和真实数据(oi)之间误差程度,计算公式为:
RMSE = i = 1 n ( e i - o i ) 2 n (17)
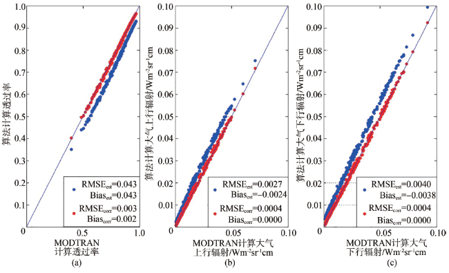
本文所提出的快速方法与MODTRAN的对比结果详见图5。其中,横轴为MODTRAN计算的实际值,纵轴为快速方法的估算值;蓝色表示未经校正的对比结果,红色则表示校正后的对比结果。从图5可明显看出,虽然未经式(15)改正的快速方法的估算结果与MODTRAN具有一定的相关性,但是结果并不理想,出现了一定程度的漂移,其大气透过率、大气上行辐亮度、大气下行辐亮度的Bias分别为0.043、-0.0024、-0.0038,RMSE分别为0.043、0.027、0.040。而经过改正后的快速方法则与MODTRA的计算结果高度一致,其Bias分别为0.002、0.00、0.00,RMSE分别为0.003、0.0004、0.0004,精度得到了明显提高。
本文使用的计算机配置为:1.7GHz intel Core i7,Memory 8GB(1600MHz DDR3)。从执行效率方面来分析,946条晴空廓线,MODTRAN计算用时793.90 s,大气参数快速估算方法计算用时14.47 s。通过用时对比可以看出,大气参数快速估算方法的执行效率远高于MODTRAN。
Fig. 5 The comparison of the atmospheric parameters calculated by the original and the revised method according to MODTRAN

图5 校正前后模型估算值与MODTRAN计算值对比

5 结论

本文在Landsat-8 TIRS只有第10波段可用的前提下,提出了一种基于Landsat-8单通道地表温度反演的大气参数快速估算方法。首先利用标准廓线建立大气分层信息查找表,然后利用辐射传输模型MODTRAN拟合得到大气参数快速估算方法中的模型系数,最终建立针对Landsat-8TIRS的大气参数快速估算方法。
在对模型精度评价方面,本文将大气参数快速估算方法的运算结果与MODTRAN的计算结果进行了对比分析,结果表明在水汽范围0~6 g/cm2内,大气参数快速估算方法精度与MODTRAN精度相当,可达到大气透过率Bias为0.002,RMSE为0.003;大气上行辐亮度Bias为0.00,RMSE为0.0004;大气下行辐亮度Bias为0.00,RMSE为0.0004。也就是说,相较于传统的大气参数估算方法,本文提出的大气参数快速估算方法能在脱离大气辐射传输模型的情况下,获得与其相当的大气参数估算精度。在实际应用过程中,MODTRAN计算用时793.90 s,大气参数快速估算方法计算用时14.47 s,通过以上数据可以看出大气参数快速估算方法执行效率更高,适用性更广,满足了业务化的基本需求。
虽然本文提出的大气参数快速估算方法在一定程度上克服了传统大气参数估算方法存在的一些问题,但是该方法中大气垂直分层的最佳层数等尚未有效讨论。作者将在今后的工作学习中继续开展相关研究工作。

The authors have declared that no competing interests exist.

[1]
覃志豪. 用陆地卫星TM6数据演算地表温度的单窗算法[J].地理学报,2001,56(4):456-466.陆地卫星TM数据(TM6)热波段表示地表热辐射和地表温度变化.长期以来,从TM6数据中演算地表温度通常是通过所谓大气校正法.这一方法需要估计大气热辐射和大气对地表热辐射传导的影响,计算过程很复杂,误差也较大,在实际中应用不多.根据地表热辐射传导方程,推导出一个简单易行并且精度较高的演算方法,把大气和地表的影响直接包括在演算公式中.该算法需要用地表辐射率、大气透射率和大气平均温度3个参数进行地表温度的演算.验证表明,该方法的地表温度演算较高.当参数估计没有误差时,该方法的地表温度演算精度达到<0.4℃, 在参数估计有适度误差时,演算精度仍达<1.1℃.因该方法适用于仅有一个热波段的遥感数据,故称为单窗算法.

DOI

[ Qin Z H.Mono-window algorithm for retrieving land surface temperature from Landsat TM6 data[J]. Acta Geographica Sinica, 2001,56(4):456-466. ]

[2]
Jiménez-Muñoz J C, Sobrino J A. A generalized single-channel method for retrieving land surface temperature from remote sensing data[J]. Journal of Geophysical Research, 2003,108(D22):4688.1] Many papers have developed algorithms to retrieve land surface temperature from at-sensor and land surface emissivity data. These algorithms have been specified for different thermal sensors on board satellites, i.e., the algorithm used for one thermal sensor (or a combination of thermal sensors) cannot be used for other thermal sensor. The main goal of this paper is to propose a generalized single-channel algorithm that only uses the total atmospheric water vapour content and the channel effective wavelength (assuming that emissivity is known), and can be applied to thermal sensors characterized with a FWHM (Full-Width Half-Maximum) of around 1 mm actually operative on board satellites. The main advantage of this algorithm compared with the other single-channel methods is that in-situ radiosoundings or effective mean atmospheric temperature values are not needed, whereas the main advantage of this algorithm compared with split-window and dual-angle methods is that it can be applied to different thermal sensors using the same equation and coefficients. The validation for different test sites shows root mean square deviations lower than 2 K for AVHRR channel 4 (l % 10.8 mm) and ATSR-2 channel 2 (l % 11 mm), and lower than 1.5 K for Landsat Thematic Mapper (TM) band 6 (l % 11.5 mm). Citation: Jim茅nez-Mu帽oz, J. C., and J. A. Sobrino, A generalized single-channel method for retrieving land surface temperature from remote sensing data, J. Geophys. Res., 108(D22), 4688, doi:10.1029/2003JD003480, 2003.

DOI

[3]
Jiménez-Muñoz J C, Sobrino C J, Soria J A, et al. Revision of the single-channel algorithm for land surface temperature retrieval from Landsat thermal-infrared data[J]. IEEE Transactions on Geoscience and Remote Sensing, 2009,47(1):339-349.This paper presents a revision, an update, and an extension of the generalized single-channel (SC) algorithm developed by Jimenez-Munoz and Sobrino (2003), which was particularized to the thermal-infrared (TIR) channel (band 6) located in the Landsat-5 Thematic Mapper (TM) sensor. The SC algorithm relies on the concept of atmospheric functions (AFs) which are dependent on atmospheric transmissivity and upwelling and downwelling atmospheric radiances. These AFs are fitted versus the atmospheric water vapor content for operational purposes. In this paper, we present updated fits using MODTRAN 4 radiative transfer code, and we also extend the application of the SC algorithm to the TIR channel of the TM sensor onboard the Landsat-4 platform and the enhanced TM plus sensor onboard the Landsat-7 platform. Five different atmospheric sounding databases have been considered to create simulated data used for retrieving AFs and to test the algorithm. The test from independent simulated data provided root mean square error (rmse) values below 1 K in most cases when atmospheric water vapor content is lower than 2 g middotcm. For values higher than 3 g middotcm, errors are not acceptable, as what occurs with other SC algorithms. Results were also tested using a land surface temperature map obtained from one Landsat-5 image acquired over an agricultural area using inversion of the radiative transfer equation and the atmospheric profile measuredat the sensor overpass time. The comparison with this ldquoground-truthrdquo map provided an rmse of 1.5 K.

DOI

[4]
Cristobal J; Jimenez-Munoz J C, Sobrino J A, et al. Improvements in land surface temperature retrieval from the Landsat series thermal band using water vapor and air temperature[J]. Journal of Geophysical Research Atmospheres, 2009,114:D08103.Land surface temperature (LST) is involved in many land surface processes such as evapotranspiration, net radiation, or air temperature modeling. In this paper we present an improved methodology to retrieve LST from Landsat 4 TM, Landsat 5 TM, and Landsat 7 ETM+ using four atmospheric databases covering different water vapor ranges (from 0 to 8 g cm) to build the LST retrieval models and using both water vapor and air temperature as input variables. We also compare this with LST retrievals using only water vapor or only air temperature, as well as with an existing LST retrieval algorithm. In order to validate the results, we have selected 77 Landsat images taken between 2002 and 2006 (Catalonia, northeast of the Iberian Peninsula) and two sources of water vapor (radiosounding data and remote sensing estimations) and air temperature (radiosounding data and air temperature modeling). The best results using radiosounding data are obtained when both air temperature and water vapor are present in the LST retrieval models with a mean RMSE of 0.9 K, followed by only water vapor models with a mean RMSE of 1.5 K and only air temperature models with a mean RMSE of 5.6 K. The results obtained using Terra Moderate Resolution Imaging Spectroradiometer (MODIS) Level 2 water vapor product and at-satellite-pass air temperature modeling as input data also show that this kind of input data offers best results, with a mean RMSE of 0.9 K, followed by water vapor models with a mean RMSE of 2.1 K and only air temperature models with a mean RMSE of 5.6 K. Similar errors when using radiosounding or modeled water vapor and air temperature as input data suggest the avoidance of radiosounding data to retrieve LST over extensive areas. Finally, when comparing the presented methodology with another methodology also using water vapor and air temperature as input data, the improvement is of more than 0.5 K.

DOI

[5]
Becker F, Li Z L.Temperature-independent spectral indices in thermal infrared bands[J]. Remote Sensing of Environment, 1990,32(1):17-33.In order to perform spectral analysis in the thermal infrared bands, temperature-independent thermal infrared spectral indices (TISI) are derived from observable thermal infrared radiances. Being temperature-independent and simply related to spectral emissivities of the observed surface, these indices are as easy to use to perform spectral analysis as reflectances in the visible and near infrared spectral domains. Examples of such indices are given for TIMS and AVHRR. Several properties of these indices are discussed, particularly their sensitivity to spectral emissivity variation, their efficient combination, and the derivation of relative spectral emissivity. These indices are quite complementary to NDVI and can lead to stronger results if used together rather than separately. For instance, in the examples worked out, these indices are more sensitive to bare soils characteristics than NDVI. Furthermore, these indices can be tailored to weight certain bands more heavily than others, giving to these indices a wide range of application. They may, for instance, be used for geologic compositional mapping. Practical examples from TIMS and AVHRR data are shown and briefly discussed with a possible applications to the determination from AVHRR data of the surface temperature and surface emissivity.

DOI

[6]
Wan Z, Dozier J.A generalized split-window algorithm for retrieving land-surface temperature from space[J]. IEEE Transactions on Geoscience and Remote Sensing, 1996,34(4):892-905.Not Available

DOI

[7]
Sun D, Pinker R.T. Estimation of land surface temperature from a geostationary operational environmental satellite (GOES-8)[J]. Journal of Geophysical Research, 2003,108(D11):4326.Abstract Two algorithms are developed and applied to observations from the Geostationary Operational Environmental Satellite (GOES) to enable frequent estimate of Land Surface Temperature (LST) representing the diurnal cycle. The derived LSTs are evaluated against a wide range of ground observations. Both algorithms are based on radiative transfer theory; one is similar to the classical split window approach used for deriving Sea Surface Temperature (SST), while the other is a three-channel algorithm. The three-channel LST algorithm aims to improve atmospheric correction by utilizing the characteristics of the middle-infrared (MIR) band. Effects of both the atmosphere and the surface emissivity are accounted for. The simulations from the proposed algorithms are compared with previously developed generalized split window algorithm, and a split window algorithm with water vapor correction. During daytime, the proposed new split window algorithm gives the best LST retrievals, while during nighttime, the proposed three-channel algorithm gives the best retrievals, both within a Root Mean Square (RMS) error of less than 1 K and without a significant bias. Evaluations against the Atmospheric Radiation Measurement (ARM) observations of radiometric surface temperatures and Surface Radiation Network (SURFRAD) observations of outgoing long wave (LW) radiation indicate that LST can be determined from the actual GOES-8 observations within an RMS accuracy of about 1–2 K, standard error of about 1 K, and bias of less than 1 K. When evaluated against the North Carolina Agricultural Research Service (NCARS) soil temperature as observed at depth of 8 in. and against air temperature observations, the amplitude of the retrieved LST is found to be significantly greater than that of the observed soil temperature, lower than the nighttime air temperature, and higher than the daytime air temperature. When the soil observations are “corrected” to account for the depth difference, they are in good agreement with the LST retrieved from the satellite observations. This indicates that observations of soil temperature, which are more readily available than measurements of “skin” temperatures, can be useful in evaluating satellite-based estimates. The LST retrieved from both of the proposed algorithms and from a NOAA/NESDIS algorithm, are generally very close to the converted skin temperature from the SURFRAD surface outgoing LW radiation. In most cases, the newly proposed algorithm shows better agreement with ground observations.

DOI

[8]
Hulley G C, Hook S J.Generating consistent land surface temperature and emissivity products between ASTER and MODIS data for Earth science research[J]. IEEE Transactions on Geoscience and Remote Sensing, 2011,49:1304-1315.Land surface temperature and emissivity (LST&E) products are generated by the Moderate Resolution Imaging Spectroradiometer (MODIS) and Advanced Spaceborne Thermal Emission and Reflection Radiometer (ASTER) on the National Aeronautics and Space Administration's Terra satellite. These products are generated at different spatial, spectral, and temporal resolutions, resulting in discrepancies between them that are difficult to quantify, compounded by the fact that different retrieval algorithms are used to produce them. The highest spatial resolution MODIS emissivity product currently produced is from the day/night algorithm, which has a spatial resolution of 5 km. The lack of a high-spatial-resolution emissivity product from MODIS limits the usefulness of the data for a variety of applications and limits utilization with higher resolution products such as those from ASTER. This paper aims to address this problem by using the ASTER Temperature Emissivity Separation (TES) algorithm, combined with an improved atmospheric correction method, to generate the LST&E products for MODIS at 1-km spatial resolution and for ASTER in a consistent manner. The rms differences between the ASTER and MODIS emissivities generated from TES over the southwestern U.S. were 0.013 at 8.6 渭m and 0.0096 at 11 渭m, with good correlations of up to 0.83. The validation with laboratory-measured sand samples from the Algodones and Kelso Dunes in CA showed a good agreement in spectral shape and magnitude, with mean emissivity differences in all bands of 0.009 and 0.010 for MODIS and ASTER, respectively. These differences are equivalent to approximately 0.6 K in the LST for a material at 300 K and at 11 渭m.

DOI

[9]
Coll C, Caselles V,Valor E, et al.Temperature and emissivity separation from ASTER data for low spectral contrast surfaces[J]. Remote Sensing of Environment, 2007,110:162-175.The performance of Advanced Spaceborne Thermal Emission Reflection Radiometer (ASTER) thermal infrared (TIR) data product algorithms was evaluated for low spectral contrast surfaces (such as vegetation and water) in a test site close to Valencia, Spain. Concurrent ground measurements of surface temperature, emissivity, and atmospheric radiosonde profiles were collected at the test site, which is a thermally homogeneous area of rice crops with nearly full vegetation cover in summer. Using the ground data and the local radiosonde profiles, at-sensor radiances were simulated for the ASTER TIR channels and compared with L1B data (calibrated at-sensor radiances) showing discrepancies up to 3% in radiance for channel 10 at 8.3 渭m (equivalently, 2.5 掳C in temperature or 7% in emissivity), whereas channel 13 (10.7 渭m) yielded a closer agreement (maximum difference of 0.5% in radiance or 0.4 掳C in temperature). We also tested the ASTER standard products of land surface temperature (LST) and spectral emissivity generated with the Temperature-Emissivity Separation (TES) algorithm with standard atmospheric correction from both global data assimilation system profiles and climatology profiles. These products showed anomalous emissivity spectra with lower emissivity values and larger spectral contrast (or maximum-minimum emissivity difference, MMD) than expected, and as a result, overestimated LSTs. In this work, a scene-based procedure is proposed to obtain more accurate MMD estimates for low spectral contrast materials (vegetation and water) and therefore a better retrieval of LST and emissivity with the TES algorithm. The method uses various gray-bodies or near gray-bodies with known emissivities and assumes that the calibration and atmospheric correction performed with local radiosonde data are accurate for channel 13. Taking the channel 13 temperature (atmospherically and emissivity corrected) as the true LST, the radiances for the other channels were simulated and used to derive linear relationships between ASTER digital numbers and at-ground radiances for each channel. The TES algorithm was applied to the adjusted radiances and the resulting products showed a closer agreement with the ground measurements (differences lower than 1% in channel 13 emissivities and within 卤0.3 掳C in temperature for rice and sea pixels).

DOI

[10]
Gillespie A R, Matsunaga T, Hook J S, et al.A temperature and emissivity separation algorithm for Advanced Spaceborne Thermal Emission and Reflection Radiometer (ASTER) images[J]. IEEE Transactions on Geoscience and Remote Sensing, 1998,36(4):1113-1126.The Advanced Spaceborne Thermal Emission and Reflection Radiometer (ASTER) scanner on NASA's Earth Observing System (EOS)-AM1 satellite (launch scheduled for 1998) will collect five bands of thermal infrared (TIR) data with a noise equivalent temperature difference (NE螖T) of ⩽0.3 K to estimate surface temperatures and emissivity spectra, especially over land, where emissivities are not known in advance. Temperature/emissivity separation (TES) is difficult because there are five measurements but six unknowns. Various approaches have been used to constrain the extra degree of freedom. ASTER's TES algorithm hybridizes three established algorithms, first estimating the normalized emissivities and then calculating emissivity band ratios. An empirical relationship predicts the minimum emissivity from the spectral contrast of the ratioed values, permitting recovery of the emissivity spectrum. TES uses an iterative approach to remove reflected sky irradiance. Based on numerical simulation, TES should be able to recover temperatures within about 卤1.5 K and emissivities within about 卤0.015. Validation using airborne simulator images taken over playas and ponds in central Nevada demonstrates that, with proper atmospheric compensation, it is possible to meet the theoretical expectations. The main sources of uncertainty in the output temperature and emissivity images are the empirical relationship between emissivity values and spectral contrast, compensation for reflected sky irradiance, and ASTER's precision, calibration, and atmospheric compensation

DOI

[11]
Gillespie A R, Abbott E A, Gilson L, et al.Residual errors in ASTER temperature and emissivity standard products AST08 and AST05[J]. Remote Sensing of Environment, 2011,115:3681-3694.Land surface temperature and emissivity89 are independent variables, and the thermal-infrared spectral radiance measured in remote sensing is dependent on both. Therefore the inverse Planck equation is under-determined, with two unknowns and a single measurement. Practical inversion algorithms designed to calculate temperature and emissivity from the measurements cannot do a perfect job of separation, and recovered temperature and emissivity may co-vary. For ASTER images, validation studies of recovered temperature and emissivity, regarded individually, have shown that they are within the precision and accuracy limits predicted in designing the ASTER TES algorithm used to calculate the standard products AST05 and AST08. Nevertheless, a closer look at emissivity recovered for water targets shows that emissivity appears to vary, incorrectly, as a function of temperature. One cause of this is electronic striping; another is incomplete characterization of atmospheric temperature and humidity profiles used in compensation for atmospheric absorption and path radiance. The linkage varies from band to band, with the greatest emissivity effect of 610.0003K 611 for ASTER band 12 (9.1μm) relative to band 13 (10.6μm). Although this inaccuracy in emissivity is small, it can approach or exceed the inaccuracy prediction of ±0.015 for the standard product when the entire gamut of terrestrial water and land temperatures is examined. Therefore, spatial filtering and upgrading the atmosphere compensation algorithm to use water-vapor scaling should be considered in making AST05 and AST08.

DOI

[12]
USGS. January 29, 2014-Landsat 8 reprocessing to begin February 3, 2014[EB/OL]. , 2015-04-26.

[13]
Qin Z H, Karnieli A, Berliner P.A mono- window algorithm for retrieving land surface temperature from Landsat TM data and its application to the Israel-Egypt border region[J]. International Journal of Remote Sensing, 2001,22(18):3719-3746.Remote sensing of land surface temperature (LST) from the thermal band data of Landsat Thematic Mapper (TM) still remains unused in comparison with the extensive studies of its visible and near-infrared (NIR) bands for various applications. The brightness temperature can be computed from the digital number (DN) of TM6 data using the equation provided by the National Aeronautics and Space Administration (NASA). However, a proper algorithm for retrieving LST from the only one thermal band of the sensor still remains unavailable due to many difficulties in the atmospheric correction. Based on thermal radiance transfer equation, an attempt has been made in the paper to develop a mono-window algorithm for retrieving LST from Landsat TM6 data. Three parameters are required for the algorithm: emissivity, transmittance and effective mean atmospheric temperature. Method about determination of atmospheric transmittance is given in the paper through the simulation of atmospheric conditions with LOWTRAN 7 program. A ...

DOI

[14]
Coll C, Caselles V, Valor E, et al.Comparison between different sources of atmospheric profiles for land surface temperature retrieval from single channel thermal infrared data[J]. Remote Sensing of Environment, 2012,117:199-210.Different sources of atmospheric water vapor and temperature profiles were used with a radiative transfer model for retrieving land surface temperature (LST) from thermal infrared remote sensing data with the so-called single channel (SC) method. Retrieved LSTs were compared to concurrent ground measurements over homogeneous rice fields to assess the accuracy of the atmospheric profiles. These included radiosonde balloons launched at the test site near-concurrently to satellite overpasses, re-analysis profiles from the National Centers for Environmental Prediction (NCEP), and satellite sounder products from the Atmospheric Infrared Sounder (AIRS) and the Moderate Imaging Spectroradiometer (MODIS; MOD07 product). SC LSTs were computed for Enhanced Thematic Mapper+ (ETM+), Advanced Spaceborne Thermal Emission and Reflection radiometer (ASTER), MODIS, and Advanced Along-Track Scanning Radiometer (AATSR). Results show that radiosonde profiles provided the best agreement between ground-measured and satellite-derived LSTs, with root mean square difference (RMSD) better than 1.0 K and biases within 卤0.5 K for most of the cases. As an alternative to radiosonde profiles, NCEP and MOD07 data yielded reasonable results with RMSDs around 1.0 K, although LSTs derived from MOD07 profiles showed a slight overestimation (0.5 to 1.0 K) of the ground LSTs. AIRS profiles usually underestimated the ground LSTs by 1 to 2 K, probably due to the large temporal gap (2-3 h) with the other satellite measurements. We propose a test to assess the suitability of atmospheric profiles applicable to sensors with bands at 11 and 12 渭m in the split-window. So this test plus the SC method may be called split-window SC algorithm, being significantly different from the simple SC method. It implies the calculation of the difference between the LST derived from both bands (T

DOI

[15]
Li Z L, Tang B H, Wu H, et al.Satellite-derived land surface temperature: Current status and perspectives[J]. Remote Sensing of Environment, 2013,131:14-37.Abstract Land surface temperature (LST) is one of the key parameters in the physics of land surface processes from local through global scales. The importance of LST is being increasingly recognized and there is a strong interest in developing methodologies to measure LST from space. However, retrieving LST is still a challenging task since the LST retrieval problemis ill-posed. This paper reviews the current status of selected remote sensing algorithms for estimating LST from thermal infrared (TIR) data. A brief theoretical background of the subject is presented along with a survey of the algorithms employed for obtaining LST from space-based TIR measurements. The discussion focuses on TIR data acquired from polar-orbiting satellites because of their widespread use, global applicability and higher spatial resolution compared to geostationary satellites. The theoretical framework and methodologies used to derive the LST from the data are reviewed followed by the methodologies for validating satellite-derived LST. Directions for future research to improve the accuracy of satellite-derived LST are then suggested.

DOI

[16]
Ellicott E, Vermote E, Petitcolin F, et al.Validation of a new parametric model for atmospheric correction of thermal infrared data[J]. IEEE Transactions on Geoscience and Remote Sensing, 2009,47(1):295-311.Abstract Surface temperature is a key component for understanding energy fluxes between the Earth's surface and atmosphere. Accurate retrieval of surface temperature from satellite observations requires proper correction of the thermal channels for atmospheric emission and attenuation. Although the split-window method has offered relatively accurate measurements, this empirical approach requires in situ data and will only perform well if the in situ data are from the same surface type and similar climatology. Single channel correction reduces uncertainty inherent to the split-window method, but requires an accurate radiative transfer model and description of the atmospheric profile. Unfortunately, this method is impractical for operational correction of satellite retrievals due to the size of data sets and computation time required by radiative transfer modeling. We present a thermal parametric model based upon the MODTRAN radiative transfer code and tuned to Moderate Resolution Imaging Spectrometer (MODIS) channels. Comparison with MODTRAN showed a good performance for the parametric model and computation speeds approximately three orders of magnitude faster. Sea surface temperature (SST) calculated using atmospheric correction parameters generated from our model showed consistent results (rmse = 0.49 K) and small bias (-0.45 K) with the MODIS SST product (MYD28). Validation of surface temperatures derived using our model with in situ land and water temperature measurements exhibited accuracy (mean bias < 0.35 K) and low error (rmse < 1 K) for MODIS bands 31 and 32. Finally, an investigation of profile sources and their effect on atmospheric correction offered insight into the application of the parametric model for operational correction of MODIS thermal bands.

DOI

[17]
Clough S A, Kneizys F X, Davies R W, et al.Theoretical line shape for H2O vapor, application to the continuum[A]. In: Deepak A, Wilkerson T D, Ruhnke L H(eds.). Atmospheric Water Vapor[M]. London: Academic Press, 1980:25-46.

[18]
Kondratiev K Y A. Radiation in the atmosphere (international geophysics series, vol.12)[M]. New York: Academic Press, 1969:911.

[19]
Chedin A, Scott N A, Wahiche C, et al.The improved initialization inversion method: A high resolution physical method for temperature retrievals from satellites of the TIROS-N series[J]. Journal of Climate and Applied Meteorology, 1985,24(2):128-143.ABSTRACT The Improved lnitialization Inversion (3I) procedure is a physico-statistical algorithm for retrieving meteorological parameters from TIROS-N satellite data at a special resolution of 100 脳 100 km. This procedure accounts for the physics of the phenomena involved, explicitly taking into consideration the local properties of each terrain observed, such as surface elevation, surface emissivity, percentage of water, and viewing angle. Considerable effort is put into the optimization of the initial guess solution which is retrieved from a large precomputed TOVS Initial Guess Retrieval (TIGR) data set. TIGR describes the physical and statistical properties of a large number of well-sampled atmospheric situations with which the observed situation may be compared. Retrieval of the initial guess also relies upon operational forecast of the temperature and gepotential altitude of the lowest atmospheric levels. The quality of the initial solution obtained is demonstrated by the fact that only one iteration with the retrieval scheme is required to get the final solution. Preliminary comparisons for the ALPEX Intensive Observing Period of 4 and 5 March 1982 show a satisfactory agreement with conventional data and, in particular, a much better agreement in the 500-1000 mb pressure range than that recently found by Gruber and Watkins.

DOI

文章导航

/