Characteristics of Land Surface Temperature Disturbance and Its Relationship to Built-up Land Expansion

  • ZHENG Huizhen , 1 ,
  • CHEN Yanhong 2, 3 ,
  • DING Wei 1 ,
  • PAN Wenbin 1 ,
  • CAI Yuanbin , 1, *
Expand
  • 1. College of Environment and Resources, Fuzhou University, Fuzhou 350116, China
  • 2. Fuzhou University Zhicheng College, Fuzhou 350002, China
  • 3. College of Geographical Sciences, Fujian Normal University, Fuzhou 350007, China
*Corresponding author: CAI Yuanbin, E-mail:

Received date: 2018-04-16

  Request revised date: 2018-07-31

  Online published: 2018-10-17

Supported by

Fujian Prov-ince Youth Social Science Project, No.FJ2016C033

Fujian Province Young and Middle-Aged Teacher Education Research Project, No.JT180021.

Copyright

《地球信息科学学报》编辑部 所有

Abstract

Estuarine region is one of the most densely populated and prosperous area around the world, and it is also an eco-environmental vulnerable area which is more fragile to human activities. The acceleration of urbanization have inevitably resulted in a series of ecological and environmental problems on estuarine region, the thermal environment is a severe part of them. Higher temperatures and extreme heat not only hamper air quality but also increase energy consumption for cooling, threatening the health of urban residents. Based on the multi-source remote sensing images, characteristics of land surface temperature under the urbanization in Minjiang River estuary area were analyzed by using remote sensing techniques and statistical methods. With the help of Moran's I index, spatial clustering characteristic and scale effect of LST were examined. Further, the correlations between LST and different landscapes were found in quantitative analysis. The results showed that: (1) Built-up land area increased sharply from 1993 to 2013, showing a slow-rapid-steady and increasing process. A large number of large-scale edge-expansion was the primary growth type, meanwhile urban sprawl was mainly in east, west and south directions. (2) The area of sub-high and high temperature zone increased markedly, while the sub-low and middle temperature zone reduced; and there was no significant change in low temperature zone. Moreover, the spatial distribution of the high temperature region was consistent with built-up land expansion. (3) The LST exhibited an obvious disturbance characteristic; the temperature near city center presented dramatic changes and the temperature fluctuation in suburb was relatively smoother than Fuzhou city proper. On the other hand, the LST had a significant spatial clustering characteristic, and the spatial pattern of LST had a scale effect. (4) The dominance of built-up land significantly strengthened surface temperature, while increasing the dominance of vegetation and water could cool temperature. Cropland displayed no sign of cooling effect, the LST tended to be stable as the percentage of cropland increased. The results of the study can provide a useful reference for improving urban thermal environment and developing sustainable cities in estuarine regions.

Cite this article

ZHENG Huizhen , CHEN Yanhong , DING Wei , PAN Wenbin , CAI Yuanbin . Characteristics of Land Surface Temperature Disturbance and Its Relationship to Built-up Land Expansion[J]. Journal of Geo-information Science, 2018 , 20(10) : 1529 -1540 . DOI: 10.12082/dqxxkx.2018.180186

1 引言

城市的快速发展,一方面推进了社会、经济和文化的进步,另一方面也引发了人口膨胀、生态失衡、环境恶化、资源短缺等城市问题[1,2]。河口地区是城市化进程中较为脆弱和敏感的区域,容易受到来自城市化和气候变化的双重胁迫,带来区域生态退化,土地变迁,温度扰动等诸多环境影响[3]。热环境变化不仅与城市环境质量和居民健康息息相关,也对河口地区的生态系统演变有着重要作用[4]。因此,科学客观探究城市化进程中,河口城市生态脆弱敏感区域表面温度的扰动变化规律,对维护区域生态系统安全稳定具有重要而积极的意义。
城市的快速扩张改变了下垫面地类性质,进而引起地表温度(Land Surface Temperature,LST)发生变化[5,6]。近年来,已有大量学者对土地利用/覆盖变化(Land Use/Cover Change,LUCC)和地表温度的关系进行研究,Tran等[7]探讨了越南河内城区地表温度在不同土地利用类型之间的差异。Estoque等[8]通过对东南亚大城市的城市热岛现象进行研究,发现地表温度与不透水面密度呈显著正相关,与绿地密度呈显著负相关。同时,归一化植被指数(NDVI)[9]、归一化建筑指数(NDBI)[10]和归一化水汽指数(NDMI)[11]等地表参数也被证明是影响地表温度的重要指标。此外,一些学者也分析了地表温度与景观格局、城市发展形态的影响,如王耀斌等[12]发现地表温度与景观形状指数、景观分割指数和多样性指数表现出较强的相关性。 刘焱序等[13]探究城市热岛效应与景观格局的关联,科学界定了城市规模、景观组分、空间构型等景观要素的阈值区间。国内外学者在地表温度与影响要素之间开展了许多研究,然而将城市化进程的胁迫与地表温度扰动变化相结合的研究较少,尤其是基于空间尺度效应的地表温度研究案例匮乏。
近年来,位于闽江河口地区的福州市随着城市化水平的提高,城市空间不断扩大,由此带来的生态环境胁迫日益增强。据统计[14],2013年,福州市区高温天数(≥35 ℃)达61 d,极端最高气温为40.6 ℃;2017年,高温天数高达65 d,极端最高气温为39.3 ℃;一系列高温严重影响了城市人居环境质量。鉴于福州市在国家自贸区、泛珠江三角洲地区和海峡西岸“先行先试”经济区中的重要地位,本文着眼于城市化进程中福州闽江河口地区表面温度扰动变化特性,构建关系模型,以期为改善城市生态敏感区热环境状况,促进城市健康发展提供科学参考。

2 研究区概况与数据源

2.1 研究区概况

闽江是福建省的母亲河,发源于福建、江西交界的建宁县均口镇,年均径流量为561亿m3[15]。研究区位于闽江河口,西至闽侯白沙,东至鳝鱼滩,北至鳌江,南至陶江-大樟溪出口,地理位置范围为25°56′~26°12′ N,119°02′~119°41′ E(图1),主要涵盖闽江河口福州段水域、湿地及其周边陆域,区域面积1604 km2。区域内的鳝鱼滩、蝙蝠洲、道庆洲、浦下洲、龙祥岛、塔礁洲、六十份洲、长岸洲及其他湿地共同构成闽江河口链珠状的湿地生态链[16]。福州市属亚热带季风气候,终年温暖湿润,阳光充足,雨量充沛,2016年平均气温20.8 ℃,年均降水量2432.6 mm,研究区内人口数为268.3万人[17]
Fig. 1 Geographical location of the study area

图1 研究区地理位置图

2.2 数据源及其预处理

本文采用从地理空间数据云(http://www.gscloud.cn/)获取的Landsat系列卫星影像作为基础数据,获取时间分别为1993年6月26日、2000年6月29日、2008年7月5日和2013年8月4日,具体参数详如表1所示。影像获取时间均为夏季(6-8月),研究区上空云量少,数据质量良好,地物识别度高,且获取时间前后2 d内的天气状况均为晴天,各年份气温接近,有利于降低反演误差,增强温度的可比性。图像预处理主要包括几何校正、大气校正和影像裁剪等。辅助数据为国家气象信息中心(http://data.cma.cn/)提供的气温、气压、相对湿度、风速和降水等同期气象数据。
Tab. 1 Remote sensing data used in the study

表1 遥感影像参数表

获取日期 获取时间(北京时间) 卫星 多光谱波段分辨率/m 热红外波段分辨率/m
1993-06-26 9:55:00 Landsat 5 30 120(30)
2000-06-29 10:09:14 Landsat 5 30 120(30)
2008-07-05 10:19:41 Landsat 5 30 120(30)
2013-08-04 10:32:31 Landsat 8 30 100(30)

注:(30)热红外波段的空间分辨率与多光谱波段不同,将其重采样为30 m空间分辨率

3 研究方法

3.1 土地利用/覆盖分类

选择最大似然法将研究区土地利用/覆盖类型划分为水域、林/草地、耕地、建设用地、湿地和裸地6类,得到研究区1993、2000、2008和2013年4个时期的土地利用/覆盖图(图2)。影像总体分类精度分别为86.32%(Kappa系数为0.83)、90.70%(Kappa系数为0.82)、89.80%(Kappa系数为0.87)、88.89%(Kappa系数为0.86),均满足大于70%的精度要求。
Fig. 2 Land use/cover maps of the study area

图2 土地利用/覆盖图

3.2 地表温度反演

目前,利用Landsat数据反演地表温度的方法主要有热辐射传输方法、单窗算法、劈窗算法和单通道算法,大量研究证明了这些算法的可行性[18,19,20,21]。本文主要采用覃志豪等[18]提出的单窗算法对Landsat 5和Landsat 8的热红外波段进行地表温度反演。Landsat 8有2个热红外波段,即波段10和波段11,由于TIRS第11波段的不确定性大于TIRS 10波段[22],故选择波段10进行反演,步骤如下:
(1)热红外波段灰度值(DN值)转化为相应的热辐射强度值
L λ = g ain × DN + offset (1)
式中:Lλ表示传感器接收到的热辐射强度/W·m-2·sr-1·μm-1;DN表示热红外波段的像元灰度值,即Landsat 5的第6波段和Landsat 8 TIRS载荷的第10波段的亮度值;gainoffset分别为热红外波段对应的增益和偏置。
(2)热辐射强度值转化为亮度温度
T b = K 2 ln 1 + K 1 L λ (2)
式中:Tb为像元的亮度温度/K;K1和K2为常量。对于Landsat 5卫星,K1=607.76 W·m-2·sr-1·μm-1,K2=1260.56 K;对于Landsat 8卫星,K1=774.89 W·m-2·sr-1·μm-1,K2=1321.08 K。
(3)计算地表温度(LST)
$T_{s}=\frac{a\times(1-C-D)+[b\times(1-C-D)+C+D]\times T_{b}-D\times T_{a}}{C}$(3)
C = τ × ε (4)
D = 1 - τ 1 + τ 1 - ε (5)
式中:Ts为像元的实际地表温度/K;a和b为常量,a=-67.355351,b=0.458606;Ta为大气平均作用温度,K;τ为大气透射率;ε为地表比辐射率。
在标准大气状态下(天空晴朗、没有涡旋作用),大气平均作用温度是地面附近气温的线性函数,用热带平均大气(式(6))近似地推算Ta[23]
T a = 17.9769 + 0.91715 T 0 (6)
式中:T0为地面附近气温/K。
采用NASA提供的大气校正参数计算器(https://atmcorr.gsfc.nasa.gov/)和MODTRAN软件获取大气透射率。
采用sobrino等[24]提出的归一化植被指数阈值法估计地表比辐射率ε
ε = 0.92 ε v P v + ε u 1 - P v + 0.99 NDVI < 0.2 0.2 NDVI 0.5 NDVI > 0.5 (7)
P v = NDV I - NDV I min NDV I max - NDV I min 2 (8)
= 1 - ε u 1 - P ν F ε ν (9)
式中:εv为植被比辐射率,取值0.99;εu为城市表面比辐射率,取值0.92;为包括自然表面的几何分布和内部反射的影响;F为形状因子,取值0.55;NDVImax取0.5,NDVImin取0.2。
LST=Ts-273.15 (10)
式中:LST为像元的实际地表温度/℃。
尽管地表温度与空气温度不尽相同,但大量研究[25,26]表明气温与地温高度相关,故可利用福州(乌山)国家基准气象站提供的气象数据对地表温度进行验证。由4景影像反演得到研究区的平均地温分别为26.44、33.07、32.94和36.18 ℃,而影像获取当天的平均气温分别为28.5、31.4、31.4和32 ℃,在可接受误差范围内,表明本文对研究区地表温度反演的结果是合理的。

3.3 建设用地扩张分析

以福州行政中心所在地为起点,分别采用四方位法和同心圆分析法,将研究区分为东南西北4个方位区和22个2 km间隔的圆形缓冲区,采用扩张速度指数(Annual Increase,AI)、相对扩张速度指数(Relative Annual Increase,RAI)、年变化率指数(Annual Variance Rate,AVR)和年均增长率指数(Annual Growth Rate,AGR)[27,28,29]作为量化城市建设用地扩张强度的指标,研究不同时期建设用地扩张的差异。
AI = A end - A star d (11)
RAI = A end - A star d T end - T star / D (12)
AVR = A end - A star d × A st ar × 100 % (13)
AGR = A end A star 1 d - 1 × 100 % (14)
式中:AstarAend分别为研究初期、末期的建设用地面积;d为时间间隔;TstarTend分别为整个研究期初期、末期的建设用地面积;D为整个研究期时间间隔。
本文采用刘小平提出的景观扩张指数(Landscape Expansion Index,LEI)[30]来识别建设用地扩张模式,该指数定义如下:
LEI = 100 × A o A o + A v (15)
式中:LEI为新增建设用地斑块的景观扩张指数;Ao为新增建设用地斑块生成的1 m缓冲区内原有建设用地斑块面积;Av为缓冲区内减去原有建设用地斑块剩余的面积。LEI的取值范围为[0,100],当LEI=0时,认为该斑块属于飞地式扩张,当LEI∈(0,50],认为该斑块属于边缘式扩张,当LEI∈(50,100],认为该斑块属于填充式扩张。

3.4 空间自相关分析

空间自相关分析具有空间集聚度识别功能[31],可确定某一变量是否在空间上相关及其相关程度[32]。空间自相关分析的统计量有多种,本文选择Moran's I指数反映地表温度空间集聚格局的总体特征[33]
全局Moran's I指数的取值范围是[-1,1],当Moran's I 大于0时,表示观测值之间存在正相关,呈现集聚的分布格局;当Moran's I 小于0时,表示观测值之间存在负相关,呈现空间分散格局;当Moran's I接近0时,表明不存在空间自相关,观测值在空间上随机排列[34,35]
全局Moran's I指数计算公式[36]
Moran' s I = n i = 1 n j = 1 n w ij x i - x ̅ x j - x ̅ i = 1 n j = 1 n w ij i = 1 n x i - x ̅ 2 (16)
局部Moran's I指数计算公式:
Moran' s I i = x i - x ̅ S 2 j = 1 n w ij x j - x ̅ (17)
S 2 = 1 n i = 1 n x j - x ̅ 2 (18)
x ̅ = 1 n i = 1 n x i (19)
式中:n为参与分析的单元总数;xixj分别为ij位置的属性值; x ̅ 为所有位置属性值的平均值;wij为空间权重;S为标准方差。

4 结果与分析

4.1 土地利用/覆盖动态变化特征

根据研究区土地利用/覆盖分类结果统计各地类的面积及其变化情况(表2)。由图2表2可知,1993-2013年,闽江河口地区的土地利用/覆盖发生了显著变化。建设用地从1993年的175.14 km2增加到2013年的380.34 km2,净增加205.20 km2;林/草地和耕地明显减少,分别减少102.98 km2和67.25 km2;湿地面积变化的绝对数量不大(6.64 km2),但变化比例较高(减少17.95%)。
Tab. 2 Area statistics of different land use/cover types from 1993 to 2013

表2 1993-2013年不同土地利用/覆盖类型面积统计

土地利用/覆盖类型 面积/km2 总变化量/km2
1993年 2000年 2008年 2013年 1993-2013年
水域 196.29 178.82 168.27 166.90 -29.39
林/草地 803.06 809.58 749.37 700.08 -102.98
耕地 389.79 378.39 344.30 322.54 -67.25
建设用地 175.14 193.68 306.50 380.34 205.20
湿地 37.00 35.30 31.91 30.36 -6.64
裸地 3.10 8.61 4.03 4.16 1.06
20年间,研究区建设用地的扩张存在明显的 时空异质性(表3图3)。1993-2000年建设用地呈缓慢增长趋势,年变化率仅为1.51%,该阶段相对 扩张速度为0.26,远低于整个研究期的扩张速度;北面的扩张速度AI和年均增长率AGR最大,其余方向上的AI和AGR都较小,说明该时期尚处于城市发展的起步阶段。2000-2008年处于快速城市化发展的阶段,城市空间持续扩张,建设用地增加112.82 km2,年变化率最大(7.28%),相对扩张速度为1.37,高于研究期扩张的平均速度;东、南、西方向上的AI和AGR较大,城市扩张显著;这一时期,福州西部金山新区和上街区域的开发建设为城市扩张提供了强劲动力。2008-2013年,相对扩张速度最快,达到1.44,而年变化率和年均增长率较之前一个时期有所降低;东向上的AI和AGR大幅增加,说明该阶段的城市发展以东扩为主,这与海峡西岸经济区建设、“跨江面海”发展战略规划政策密切相关。
Tab. 3 Variation, annual variance rate, annual increase and annual growth rate of built-up land

表3 不同时期建设用地变化量、年变化率、扩张速度和年均增长率

1993-2000年 2000-2008年 2008-2013年 1993-2013年
变化量/km2 18.54 112.82 73.84 205.20
年变化率AVR/% 1.51 7.28 4.82 5.86
扩张速度AI/(km2/a) 2.65 14.10 14.77 10.26
年均增长率AGR/% 1.45 5.91 4.41 3.95
Fig. 3 Annual increase and annual growth rate of built-up land in different directions

图3 各方位建设用地扩张强度和年均增长率

总体来看,1993-2013年,闽江河口地区经历了一个由慢转快,而后保持平稳上升的城市发展进程。空间上看,城市拓展如“摊大饼”式蔓延展开,受“东扩、南进,西拓”的政策影响,研究区东部、西部和南部成为城市空间拓展的主要方向,即:沿鼓台老城区-南台岛-城市市区-滨海地区的东南轴扩展。

4.2 建设用地扩张模式分析

表4可看出,1993-2000、2000-2008和2008-2013年的建设用地扩张模式均以边缘式扩张式为主,斑块数量分别占51.12%、40.14%和37.20%,面积比例分别占61.01%、69.75%和68.41%,表明20年间研究区的城市扩张主要是通过大量大规模的边缘式扩张实现的。3个时期内,填充式扩张的面积比例分别为29.51%、21.78%和17.20%,呈不断下降的趋势;飞地式扩张的面积比例分别为9.48%、8.47%和14.39%,表现出上升的趋势,且2种扩张模式的面积占比差距逐渐减小。
Tab. 4 The number patches and areas of three growth types

表4 3种扩张模式斑块数量比例和面积比例

扩张模式 1993-2000年 2000-2008年 2008-2013年
数量比例/% 面积比例/% 数量比例/% 面积比例/% 数量比例/% 面积比例/%
边缘式 51.12 61.01 40.14 69.75 37.20 68.41
填充式 27.86 29.51 30.76 21.78 24.72 17.20
飞地式 21.02 9.48 29.10 8.47 38.08 14.39
从缓冲区分析结果(图4)上看,各时期的填充式扩张主要分布在距城市中心14 km以内的主城区。边缘式扩张的分布波动性大,不同时期的形态有所差别,1993-2000年峰值范围出现在距城市中心4~10 km和40~42 km处,金山投资区、盖山投资区、城门投资区和长乐国际机场的建立是其扩张的主要动力。2000-2008年高值区出现在4~14 km范围内,对应的是金山新城区和福州大学城区的建设。2008-2013年有3个高值区,8~16 km的高值区主要是闽侯县大学城的连片开发引起;长乐城区的建设是形成22~24 km小高峰的重要原因;第三个高值区集中在距城市中心30~38 km的长乐区鹤上镇、金峰镇和文岭镇,纺织工业区、机场工业区、物流园和港口建设使得该地的扩张明显。各时期的飞地式扩张分布相对较均匀,但在2008-2013年,起伏相对较大,说明该阶段福州仍处于不断向外扩张的过程中。
Fig. 4 Area changes of three growth types based on buffer zones

图4 基于缓冲区的3种扩张模式面积变化

4.3 地表温度扰动特性分析

根据Jenks提出的自然间断点分级法[37]对闽江河口地区的地表温度进行划分,分为低温、次低温、中温、次高温和高温5个温区(图5),并利用ArcGIS 10.2软件统计得到各温区的转移矩阵(表5)。由图5可知,1993-2013年随着城市化进程的推进,闽江河口地区热环境时空格局发生了相应的变化。从空间上看,次高温及以上温区的分布较为集中,主要分布在建筑密集、人口活动剧烈的市中心以及各区县的建制镇区域;同时,面积不断攀升,从1993年的14.17%上升到2013年的24.21%。中温区主要分布高温区和次高温区周围并向外部扩展,分布较为零散。次低温及以下温区面积占比最大,主要分布在闽江水域以及森林覆盖率高的山区。从时序变化上看:1993年,主要以中温区及以下温区为主,高温区范围小,大部分位于福州市鼓楼区;2000年,高温区范围扩大,以鼓楼区为中心向周边区域蔓延;2008年,由于城市化进程加快,高温区面积大幅上升,增加了37.00 km2,其中,仓山区的高温区扩张尤为明显;2013年,建设用地连片开发,高温区由市区向闽侯县和长乐市延伸,面积持续增加(33.05 km2)。
Fig. 5 The spatial distribution maps of land surface temperature

图5 地表温度空间分布图

Tab.5 Transition matrixes of different temperature zones from 1993 to 2013

表5 1993-2013年不同温区转移矩阵(km2

低温区 次低温区 中温区 次高温区 高温区 1993年合计
低温区 285.26 86.86 37.55 24.55 12.50 446.72
次低温区 135.57 256.56 132.27 71.86 30.27 626.53
中温区 29.66 116.75 71.81 58.61 27.05 303.88
次高温区 9.30 25.43 26.57 54.84 42.36 158.50
高温区 0.59 0.44 1.35 19.84 46.55 68.77
2013年合计 460.38 486.04 269.55 229.70 158.73 1604.40
面积净变化 13.66 -140.49 -34.33 71.20 89.96 0.00
表5的温区转移矩阵可以看出,1993-2013年闽江河口区地表温度主要表现出次高温区和高温区显著增加,次低温区和中温区减少,低温区较为稳定的特征。其中,次低温区面积大幅下降(减少140.49 km2),主要转化为低温区(135.57 km2)和中温区(132.27 km2);次高温区和高温区扩大,分别增加71.20 km2和89.96 km2。同时,高温区主要以鼓楼区为中心向东、南方向扩张,与建设用地扩张方向基本一致,可见,城市建设用地的快速增长和不断扩张是引起闽江河口地区表面温度扰动变化的主要因素。
从福州下垫面的剖面分析结果(图6)可看出,不同土地覆盖类型之间的地表温度存在显著差异,林地、湿地和水域覆盖区温度较低,而建设用地广泛分布的城区温度较高。随着福州的建设发展,剖面温度均值和极值大幅上涨,甚至出现了多个低值向高值转变的区域(如浦下洲湿地、仓山区和长乐市区)。总体上,近年来由于受城市化进程的影响,研究区地表温度存在着明显的扰动现象,表现为靠近主城区剧烈,城郊和郊区相对和缓的特性。
Fig. 6 Profile analysis of surface temperature distribution change

图6 地表温度扰动变化剖面分析

4.4 地表温度空间自相关分析

以300 m×300 m、600 m×600 m、900 m×900 m、1200 m×1200 m、1500 m×1500 m共5种不同尺度的网格为基础,运用Geoda软件的统计分析功能得出不同空间尺度下的Moran's I指数(表6)。由表6可看出,2013年Moran's I的值均大于0.7,Z-Score均远大于1.96,说明研究区地表温度分布表现出很强的空间正相关。不同的尺度下,Moran's I值呈下降趋势,从0.8967降到0.7702,说明随着空间尺度的增大,地表温度的空间相关性逐渐减弱。
Tab. 6 Changes of LST’s statistical variables at five scales in 2013

表6 2013年地表温度空间统计变量随尺度变化

300 m×300 m 600 m×600 m 900 m×900 m 1200 m×1200 m 1500 m×1500 m
Moran's I 0.8967 0.8516 0.8215 0.7962 0.7702
Z-Score 170.0791 80.9949 52.2108 38.1601 29.5304
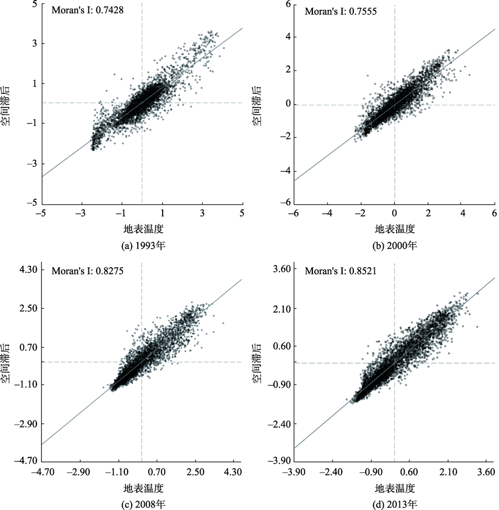
从不同年份Moran's I散点图(图7)可看出,大部分样点落于第一和第三象限,少数样点落于第二和第四象限,说明研究区地表温度的分布特征为属性相似的区域在空间上集聚分布,即温度较高的区域周边温度也较高,温度较低的区域周边温度也较低。1993、2000、2008和2013年的Moran's I指数分别为0.7428、0.7555、0.8275和0.8521,呈现不断上升的趋势,其中,2000-2008年Moran's I指数增幅最大,地表温度空间聚集愈发明显,这与该时期城市化进程加快、建设用地大面积连片扩张有关。
为进一步分析不同土地利用/覆盖类型与地表温度之间的关系,对景观面积所占比例及其相应的地表温度进行回归分析(图8)。结果表明,建设用地的比重与地表温度呈显著正相关(p<0.01),林/草地、水域的比重与地表温度呈负相关(p<0.01),即连片建设用地的扩张使得地表温度急剧上升,而大面积的林/草地和水域等生态用地能降低周边地表温度。值得注意的是,耕地并没有表现出明显的降温或升温效果,在耕地比重较低时,地表温度波动幅度较大,但随着耕地比重的增加,地表温度扰动趋于稳定。
Fig. 7 Morans'I scatter diagram of LST(600 m×600 m)

图7 地表温度Moran's I散点图(600 m×600 m)

Fig.8 The regression analysis between landscape types and LST at 600m scale in 2013

图8 2013年600 m幅度下景观类型与地表温度回归分析

5 结论与讨论

本文以多时相卫星遥感影像为基础,研究了城市化进程中闽江河口地区表面温度的扰动特性。结果表明:① 在这20年间,研究区的土地利用/覆盖发生显著变化,水域、林/草地、耕地、湿地面积减少,建设用地面积大幅增加,不同时期建设用地的扩张存在明显的时空异质性;② 闽江河口地区经历了由慢转快,而后平稳上升的过程;东部、西部和南部成为城市发展与扩张的主要方向;③ 建设用地扩张主要是通过大量大规模的边缘式扩张实现的;填充式扩张主要集中在距城市中心14 km以内的主城区,边缘式扩张的分布波动性大,而飞地式扩张的分布相对较均匀;④ 地表温度主要表现出次高温区和高温区显著增加,次低温区和中温区减少,低温区较为稳定的特征,高温区主要以鼓楼区为中心向东、南方向扩张,与建设用地扩张方向基本一致。同时,地表温度存在着明显的扰动现象,表现为靠近主城区剧烈,城郊和郊区相对和缓的特性;⑤ 地表温度分布表现出明显的空间聚集现象,随着空间尺度的增大,地表温度的空间相关性逐渐减弱;⑥ 建设用地的比重与地表温度呈显著正相关,林/草地和水域的比重与地表温度呈负相关,而耕地没有表现出明显的降温或升温效果,但随着耕地比重的增加,地表温度逐渐趋于稳定。
根据上述结论,对今后城市的发展规划提出以下建议:① 控制建设用地的连片扩张。建设用地扩张是人类活动对自然表面的强烈干扰,具有不可逆性,须通过制定合理的城市总体规划,优化不透水面的空间布局,降低建设用地的斑块密度,并辅以建筑物淡色化、透水性公路铺设、屋顶绿化等措施,削弱其引起的地表升温效应;② 提高生态用地的覆盖度。林地、绿地和水体等生态用地可通过遮蔽、蒸散作用降低周围温度,研究表明,当生态用地的覆盖率超过25 km2[37],降温效果明显;同时,形状规则、紧凑的生态用地能更好地缓解区域高温;③ 推动耕地可持续集约化。城市建设主要以占用耕地为代价,导致农业用地丧失、分离或破碎,这不但激化了人地矛盾,又使得耕地表面温度波动幅度大;因此整合破碎的耕地资源,提高耕地质量,促进耕地集约化的可持续发展,将有助于稳定区域温度。
本文选择福州闽江河口作为河口地区的典型代表,具有大众特征,研究结果具备普遍的说服力,可为开展本地区与其他相似地区的横向及纵向比较提供基础和依据,并为城市规划和发展、构建和谐人居环境提供借鉴或参考。实际上,除了本文中着重研究的城市化对河口区域地表温度的影响外,散落在闽江上的湿地也受到城市化进程带来的胁迫,故后续研究可以湿地本身为研究对象,进一步定量评估城市化对湿地热环境变化所造成的影响。

The authors have declared that no competing interests exist.

[1]
李双成,赵志强,王仰麟.中国城市化过程及其资源与生态环境效应机制[J].地理科学进展,2009,28(1):63-70.lt;p>目前中国城市化进程表现为速度过快、地域差异显著以及城乡二元结构明显等特征。城市化带来了显著的 生态效应,使城市生态系统的结构、过程和功能受到影响或发生不可逆转的变化,出现了耕地资源流失、水资源稀 缺、能源压力、城市环境污染严重以及城市区域生态占用扩大等资源与生态环境问题。目前国内外学者研究了城市 热岛效应、城市地表覆被变化、城市生物多样性损失以及城市水土资源等问题,但多侧重单要素、单城市、单学科研 究,缺乏多尺度机理性的研究。鉴于此,提出若干未来城市化及其生态环境效应研究的方向与议题,归纳为:(1)中国 城市化过程多尺度定量模拟与监测研究;(2)阐明城市化影响下地表自然过程和人文过程相互作用的机理;(3)资源 与生态环境约束下中国未来城市化的可能情景及其风险评估等。</p>

DOI

[ Li S C, Zhao Z Q, Wang Y L.Urbanization process and effects of natural resource and environment in China: Research trends and future directions[J]. Progress in Geography, 2009,28(1):63-70. ]

[2]
张坤民. 中国环境保护事业60年[J].中国人口资源与环境,2010,20(6):1-5.在总结建国初期及起步阶段环境问题及环保工作的基础上,本文分析了我国改革开放时期环境保护事业的发展与环境政策的形成:环境保护的战略地位不断提升,环境法律法规与管理制度不断完善,环境保护同环境破坏艰难博弈,环境外交与环境保护参与综合决策,落实科学发展观与建设生态文明。中国环境政策的特点是:充分运用命令-控制手段;努力筹集环境保护资金;明确保护环境的责任;鼓励"防治结合"和"综合利用";较早体现对外开放和国际合作。文章归纳了中国环境政策的演变过程,地位从基本国策到可持续发展战略,重点从偏重污染控制到污染控制与生态保护并重,方法从末端治理到源头控制,范围从点源治理到流域和区域的环境治理,手段从以行政命令为主导到以法律、经济手段为主导。指出发展低碳经济,建设生态文明是环境保护的出路和目标。

DOI

[ Zhang K M.China's environmental protection of past sixty years since 1949[J]. China Population Resources and Environment, 2010,20(6):1-5. ]

[3]
白杨,孟浩,王敏,等.上海市城市热岛景观格局演变特征研究[J].环境科学与技术,2013,36(3):196-201.城市热岛空间格局特征及其内在驱动机制的研究可为缓解城市热岛效应、城市规划与产业布局提供科学依据,目前这方面研究还比较少,相关机制并没有得到完全的揭示。该研究以上海市为研究对象,采用1987、1996、2002和2010年4景Landsat TM/ETM+遥感影像,对城市地表温度进行了反演与分级。借助景观格局指数,分析了上海市城市热岛景观格局时空演变特征。结果表明:随着1987-2010年上海市不断城市化,各级热岛景观类型斑块数量持续增加,高等级的城市热岛景观类型面积也持续增加,整个城市热岛景观趋于破碎化。热岛景观总体聚集度下降,连通性下降,但是低等级热岛景观向高等级热岛景观转移的面积逐渐增加,景观类型之间面积差异逐渐减小,景观均匀度和多样性增加。城市化过程中,人口数量的增加和经济的快速发展对城市热岛景观格局的形成和演变具有重要的影响。研究结果揭示了城市热岛格局随城市化进程的时空演变特征,可以为制定有效的热岛效应缓解措施提供参考依据。

[ Bai Y, Meng H, Wang M, et al.Spatial and temporal changes of urban thermal landscape pattern in Shanghai[J]. Environmental Science & Technology, 2013,36(3):196-201. ]

[4]
姚远,陈曦,钱静.城市地表热环境研究进展[J].生态学报,2018,38(3):1134-1147.近50年来,以中国为代表的发展中国家快速城市化过程所引起的生态环境问题直接导致了城市地表热环境的剧烈变化。当前,采用定量化的研究方法开展城市地表热环境研究已成为国内外城市生态环境与气候领域的研究热点之一。因此,厘清城市地表热环境的研究进展对于今后更好地开展城市空间热环境定量评价研究以及进一步促进城市可持续发展具有重要的现实意义。在对城市空间热环境和城市热岛等相关概念、主要研究方法和数据获取方式进行简要叙述的基础上,着重从城市地表热环境的时空特征及其变化、驱动力和驱动机制、城市地表辐射与能量平衡、城市地表热岛与城市大气热岛的关系及其演变规律、城市绿地和水体对城市热岛效应的缓解、城市地表热岛的尺度转换等6个主要方面对当前国内外已开展的城市地表热环境研究进行了归纳总结,并就当前研究过程中存在的问题以及未来的研究重点进行了探讨,以期为今后更好地开展城市地表热环境定量化研究提供参考。

[ Yao Y, Chen X, Qian J.Research progress on the thermal environment of the urban surfaces[J]. Acta Ecologica Sinica, 2018,38(3):1134-1147. ]

[5]
黄木易,岳文泽,何翔.巢湖流域地表热环境与景观变化相关分析及其尺度效应[J].中国环境科学,2017,37(8):3123-3133.基于Landsat ETM+/TIRS影像数据,采用大气校正法反演巢湖流域地表温度,分析2000~2013年的流域地表热环境效应演变规律,通过5个尺度的网格化采样,在不同幅度水平上定量分析LST与下垫面景观的相关性及其尺度效应.结果表明:2000~2013年,巢湖流域LST高强度区域主要以合肥市区为集聚中心并向城市周边蔓延,低强度区域逐渐缩小,流域地表热环境效应增强.LST与下垫面景观结构相关关系分析表明,建设用地景观是流域热环境效应的主要原因,而水体、林地景观可有效抑制地表温度;景观格局对热环境效应影响显著,建设用地与农地景观的破碎度、分离度指数与LST呈极显著负相关,而林地、水体景观的破碎度和分离度与LST呈极显著正相关;LST对景观优势度的影响最敏感,建设用地优势度与LST呈极显著正相关,而林地、水体优势度增加则能有效降低地表温度.探索性空间数据分析(ESDA)及尺度效应分析表明:巢湖流域地表热环境具有显著的空间聚集性,且LST空间格局具有明显的尺度效应,巢湖流域地表热环境效应相关研究的适宜幅度域为2~4km.通过规划合理配置林地和水体景观类型资源,加强建设用地增长调控,优化景观格局是抑制流域地表热环境效应的主要对策.

[ Huang M Y, Yue W Z, He X.Correlation analysis between land surface thermal environment and landscape change and its scale effect in Chaohu Basin[J]. China Environmental Science, 2017,37(8):3123-3133. ]

[6]
Deng Y H, Wang S J, Bai X Y, et al.Relationship among land surface temperature and LUCC, NDVI in typical karst area[J]. Scientific Reports, 2018,8(1):641-653.Land surface temperature (LST) can reflect the land surface water-heat exchange process comprehensively, which is considerably significant to the study of environmental change. However, research about LST in karst mountain areas with complex topography is scarce. Therefore, we retrieved the LST in a karst mountain area from Landsat 8 data and explored its relationships with LUCC and NDVI. The results showed that LST of the study area was noticeably affected by altitude and underlying surface type. In summer, abnormal high-temperature zones were observed in the study area, perhaps due to karst rocky desertification. LSTs among different land use types significantly differed with the highest in construction land and the lowest in woodland. The spatial distributions of NDVI and LST exhibited opposite patterns. Under the spatial combination of different land use types, the LST DVI feature space showed an obtuse-angled triangle shape and showed a negative linear correlation after removing water body data. In summary, the LST can be retrieved well by the atmospheric correction model from Landsat 8 data. Moreover, the LST of the karst mountain area is controlled by altitude, underlying surface type and aspect. This study provides a reference for land use planning, ecological environment restoration in karst areas.

DOI

[7]
Tran D X, Pla F, Latorre-Carmona P, et al.Characterizing the relationship between land use land cover change and land surface temperature[J]. ISPRS Journal of Photogrammetry and Remote Sensing, 2017,124:119-132.Exploring changes in land use land cover (LULC) to understand the urban heat island (UHI) effect is valuable for both communities and local governments in cities in developing countries, where urbanization and industrialization often take place rapidly but where coherent planning and control policies have not been applied. This work aims at determining and analyzing the relationship between LULC change and land surface temperature (LST) patterns in the context of urbanization. We first explore the relationship between LST and vegetation, man-made features, and cropland using normalized vegetation, and built-up indices within each LULC type. Afterwards, we assess the impacts of LULC change and urbanization in UHI using hot spot analysis (Getis-Ord Gi statistics) and urban landscape analysis. Finally, we propose a model applying non-parametric regression to estimate future urban climate patterns using predicted land cover and land use change. Results from this work provide an effective methodology for UHI characterization, showing that (a) LST depends on a nonlinear way of LULC types; (b) hotspot analysis using Getis Ord Gi statistics allows to analyze the LST pattern change through time; (c) UHI is influenced by both urban landscape and urban development type; (d) LST pattern forecast and UHI effect examination can be done by the proposed model using nonlinear regression and simulated LULC change scenarios. We chose an inner city area of Hanoi as a case-study, a small and flat plain area where LULC change is significant due to urbanization and industrialization. The methodology presented in this paper can be broadly applied in other cities which exhibit a similar dynamic growth. Our findings can represent an useful tool for policy makers and the community awareness by providing a scientific basis for sustainable urban planning and management.

DOI

[8]
Estoque R C, Murayama Y, Myint S W.Effects of landscape composition and pattern on land surface temperature: An urban heat island study in the megacities of Southeast Asia[J]. Science of the Total Environment, 2017,577:349-359.

DOI

[9]
Wu H, Ye L P, Shi W Z, et al.Assessing the effects of land use spatial structure on urban heat island using HJ-1B remote sensing imagery in Wuhan, China[J]. International Journal of Applied Earth Observation and Geoinformation, 2014,32(1):67-78.

DOI

[10]
Guo G H, Wu Z F, Xiao R B, et al.Impacts of urban biophysical composition on land surface temperature in urban heat island clusters[J]. Landscape and Urban Planning, 2015,135:1-10.

DOI

[11]
李斌,王慧敏,秦明周,等.NDVI、NDMI与地表温度关系的对比研究[J].地理科学进展,2017,36(5):585-596.通过研究归一化植被指数(NDVI)、归一化水汽指数(NDMI)与地表温度(LST)的相关关系,对比NDVI和NDMI定量分析LST的适宜程度。以Landsat 8遥感影像为数据源,以郑汴都市区为例,反演LST,计算NDVI和NDMI。从整体、分区、像元等不同层面分析NDVI和NDMI与LST的相关关系,并利用GEO-Da软件,分析150 m、300 m、450 m三种不同采样间隔数据的NDVI、NDMI与LST的空间相关性。主要结论为:(1)NDVI与LST的线性拟合度较差,而NDMI与LST具有很强的线性关系,剖面分析显示NDMI与LST呈显著负相关关系。(2)缓冲区分析结果表明,随着距城市中心距离的增加,用地类型增多,LST和NDMI之间的相关性逐渐增强。(3)在Moran’s I空间相关性分析中,不同采样间隔下两指数与LST的负相关关系均比较明显,但由于水体在2个指数中数值的差异,使NDMI与LST表现出更强的空间负相关性,而NDVI与LST空间相关性则相对较弱。因此,总的来说NDMI是热环境研究的有效指标,与NDVI相比,NDMI与LST的负相关关系更强、更稳定,也更适宜于对LST的定量分析。

DOI

[ Li B, Wang H M, Qin M Z, et al.Comparative study on the correlations between NDVI, NDMI and LST[J]. Progress in Geography, 2017,36(5):585-596. ]

[12]
王耀斌,赵永华,韩磊,等.西安市景观格局与城市热岛效应的耦合关系[J].应用生态学报,2017,28(8):2621-2628.

[ Wang Y B, Zhao Y B, Han L, et al.Coupling relationship of landscape pattern and urban heat island effect in Xi’an, China[J]. Chinese Journal of Applied Ecology, 2017,28(8):2621-2628. ]

[13]
刘焱序,彭建,王仰麟.城市热岛效应与景观格局的关联:从城市规模、景观组分到空间构型[J].生态学报,2017,37(23):7769-7780.景观格局的改变被视为城市热岛形成的直接原因,但景观格局指标与热岛效应的关联机理仍未厘清。城市规模、景观组分、空间构型作为景观格局的重要表征指标,对热岛效应的影响体现了从整体到局部、从数量到空间的递进关系。其中,城市规模与热岛效应的关联存在地带性规律;景观组分与热岛效应的相关性受昼夜、季节控制;显著驱动热岛效应的关键空间构型指标仍有待遴选。景观格局与热岛效应的非线性关联可能存在拐点,拐点前后对应不一致的因子驱动强度。科学界定城市规模、景观组分、空间构型等景观格局要素显著影响热岛效应的阈值区间,有助于明晰缓解城市热岛效应的关键景观生态途径。

[ Liu Y X, Peng J, Wang Y L.Relationship between urban heat island and landscape patterns: From city size and landscape composition to spatial configuration[J]. Acta Ecologica Sinica, 2017,37(23):7769-7780. ]

[14]
国家气象信息中心.中国地面国际交换站气候资料日值数据集[EB/OL]. .

[ National Meteorological Information Center. Dataset of daily climate data from Chinese surface stations for global exchange. ]

[15]
福建省地方志编纂委员会.福建省志[EB/OL]. .

[ Compilation Committee of Fujian Province Chorography. Fujian Province Chorography [EB/OL]. ]

[16]
周亮进. 闽江河口湿地景观格局动态研究[D].上海:华东师范大学,2007.

[ Zhou L J.Dynamic of landscape pattern of wetlands in Min River estuary[D]. Shanghai: East China Normal University, 2007. ]

[17]
福州市统计局 .福州统计年鉴2017 [EB/OL]. .

[ Fuzhou City Bureau of Statistics. Fuzhou Statistical Yearbook 2017 [EB/OL]. . ]

[18]
覃志豪, Zhang M H, Karnieli A, 等.用陆地卫星TM6数据演算地表温度的单窗算法[J].地理学报,2001,56(4):456-466.陆地卫星 TM数据 (TM6)热波段表示地表热辐射和地表温度变化。长期以来 ,从 TM6数据中演算地表温度通常是通过所谓大气校正法。这一方法需要估计大气热辐射和大气对地表热辐射传导的影响 ,计算过程很复杂 ,误差也较大 ,在实际中应用不多。根据地表热辐射传导方程 ,推导出一个简单易行并且精度较高的演算方法 ,把大气和地表的影响直接包括在演算公式中。该算法需要用地表辐射率、大气透射率和大气平均温度 3个参数进行地表温度的演算。验证表明 ,该方法的地表温度演算较高。当参数估计没有误差时 ,该方法的地表温度演算精度达到 0 .4℃ ,在参数估计有适度误差时 ,演算精度仍达 1 .1℃。因该方法适用于仅有一个热波段的遥感数据 ,故称为单窗算法。

DOI

[ Qin Z H, Zhang M H, Karnieli A, et al.Mono-window algorithm for retrieving land surface temperature from Landsat TM6 data[J]. Acta Geographica Sinica, 2001,56(4):456-466. ]

[19]
Jiménez-Muñoz J C, Sobrino J A. A generalized single-channel method for retrieving land surface temperature from remote sensing data[J]. Journal of Geophysical Research: Atmospheres, 2003,108(D22):1-9.

[20]
丁凤,徐涵秋.基于Landsat TM的3种地表温度反演算法比较分析[J].福建师范大学学报(自然科学版),2008,24(1):91-96.以福州市为研究区,使用Landsat TM数据,利用基于影像的反演算法(IB算法)、单窗算法(MW算法)和单通道算法(SC算法)对研究区进行地表温度反演,并将这3种算法的反演结果与研究区的亮度温度进行了比较,结果表明:(1)3种算法反演的结果总体趋势比较接近,其中尤以MW算法和IB算法较为接近,研究区整体平均温度二者仅相差约1.0℃;(2)3种算法反演的结果均比亮度温度高,其中IB算法高出约1.9℃,MW算法高出约2.9℃,而SC算法则要高出约5.3℃.

[ Ding F, Xu H Q.Comparison of three algorithms for retrieving land surface temperature from Landsat TM thermal infrared band[J]. Journal of Fujian Normal University (Natural Science Edition), 2008,24(1):91-96. ]

[21]
王猛猛. 地表温度与近地表气温热红外遥感反演方法研究[D].北京:中国科学院遥感与数字地球研究所,2017.

[ Wang M M.Methodology development for retrieving land surface temperature and near surface air temperature based on thermal infrared Remote Sensing[D].Beijing: Institute of Remote Sensing and Digital Earth), 2017. ]

[22]
徐涵秋. Landsat 8热红外数据定标参数的变化及其对地表温度反演的影响[J].遥感学报,2016,20(2):229-235.

[ Xu H Q.Change of Landsat 8 TIRS calibration parameters and its effect on land surface temperature retrieval[J]. Journal of Remote Sensing, 2016,20(2):229-235. ]

[23]
覃志豪, Li W J, Zhang M H, 等.单窗算法的大气参数估计方法[J].国土资源遥感,2003,56(2):37-43.根据地表热辐射传导方程,提出了一个简单可行且精度较高的专门用于从TM6数据中演算地表温度的方法———单窗算法。这一算法把大气和地表状态对地表热传导的影响直接包括在演算公式中。该方法需要两个大气参数进行地表温度的演算,即大气平均作用温度和大气透射率。本文论述这两个大气参数的估计方法:根据大气水分含量或地表附近空气湿度来估计大气透射率;通过分析标准大气剖面资料,尤其是大气水分和气温随高程的变化规律,根据地表温度推算大气平均作用温度。

DOI

[ Qin Z H, Li W J, Zhang M H, et al.Estimating of the essential atmospheric parameters of Mono-window algorithm for land surface temperature retrieval from Landsat TM6[J].Remote Sensing for Land & Resources, 2003,56(2):37-43. ]

[24]
Sobrino J A, Jiménez-Muñoz J C, Paolini L. Land surface temperature retrieval from Landsat TM5[J]. Remote Sensing of Environment, 2004,90(4):434-440.In this paper, three methods to retrieve the land surface temperature (LST) from thermal infrared data supplied by band 6 of the Thematic Mapper (TM) sensor onboard the Landsat 5 satellite are compared. The first of them lies on the estimation of the land surface temperature from the radiative transfer equation using in situ radiosounding data. The others two are the mono-window algorithm developed by Qin et al. [International Journal of Remote Sensing 22 (2001) 3719] and the single-channel algorithm developed by Jiménez-Mu09oz and Sobrino [Journal of Geophysical Research 108 (2003)]. The land surface emissivity (LSE) values needed in order to apply these methods have been estimated from a methodology that uses the visible and near infrared bands. Finally, we present a comparison between the LST measured in situ and the retrieved by the algorithms over an agricultural region of Spain (La Plana de Requena-Utiel). The results show a root mean square deviation (rmsd) of 0.009 for emissivity and lower than 1 K for land surface temperature when the Jiménez-Mu09oz algorithm is used.

DOI

[25]
Sun R H, Chen A L, Chen L D, et al.Cooling effects of wetlands in an urban region: The case of Beijing[J]. Ecological Indicators, 2012,20:57-64.The cooling effects of wetlands, which form “urban cooling islands” (UCIs), are important for mitigating urban heat island effects. Ten reservoirs/lakes and five rivers in Beijing are selected to investigate UCI intensity using ASTER images. The UCI intensity is quantified by the temperature difference and gradient between the wetland and surrounding landscapes. The results indicate that: (1) the UCI intensity is correlated with the landscape shape index (LSI) of the wetlands, and the Spearman Rho is 0.679 between LSI and temperature difference, and 0.568 between LSI and temperature gradient; and (2) the UCI intensity is also determined by the wetland location in relation to the downtown, and the correlation coefficient is 0.691 between the location and temperature difference, and 0.706 between the location and temperature gradient. Our results suggest that wetland shape and location are significant indicators influencing the UCI intensity in an urban region, and are important to consider in quantifying the microclimate regulation services of wetlands as well as in designing urban landscape to mitigate UHI effects.

DOI

[26]
Qiao Z, Tian G, Xiao L.Diurnal and seasonal impacts of urbanization on the urban thermal environment: A case study of Beijing using MODIS data[J]. ISPRS Journal of Photogrammetry and Remote Sensing, 2013,85:93-101.

DOI

[27]
韩瑞丹,张丽,郑艺,等.曼谷城市扩张生态环境效应研究[J].生态学报,2017,37(19):6322-6334.

[ Han R D, Zhang L, Zheng Y, et al.Urban expansion and its ecological environmental effects in Bangkok, Thailand[J]. Acta Ecologica Sinica, 2017,37(19):6322-6334. ]

[28]
许雪爽,包安明,常存,等.新疆重点城市建设用地扩张与人地配置协调性分析[J].经济地理,2017,37(10):92-99.

[ Xu X S, Bao A M, Chang C, et al.Characteristics of urban built-up expansion and coordination of man-land allocation in the major cities in Xinjiang[J]. Economic Geography, 2017,37(10):92-99. ]

[29]
陈忠升,陈亚宁,李卫红,等.和田河流域土地利用变化及其生态环境效应分析[J].干旱区资源与环境,2009,23(3):49-54.基于遥感和GIS技术及数理统计学方法,利用1990年、1999年、2002年和2005年和田河流域各县市统计资料及遥感影像解译得到的4期土地利用数据,对和田河流域1990—2005年土地利用数量、变化幅度、年变化率、动态度、优势度等进行了定量的分析研究。结果表明,在15年尺度上土地利用总的动态特征是:耕地、林地和城乡建设用地面积增加,草地、水域和未利用地面积减少;综合土地利用动态度是1.28%;优势度没有发生明显的变化,未利用地一直最高;土地利用变化改变了流域内水量平衡、水盐平衡关系,加上对植被的不合理利用,生态平衡遭受到一定程度的破坏。

[ Chen Z S, Chen Y N, Li W H, et al.Analysis on land use changes and their ecological effect in Hotan River basin[J]. Journal of Arid Land Resources and Environment, 2009,23(3):49-54. ]

[30]
Liu X P, Li X, Chen Y M, et al.A new landscape index for quantifying urban expansion using multi-temporal remotely sensed data[J]. Landscape Ecology, 2010,25(5):671-682.Landscape metrics or indices have been commonly used for quantifying landscape patterns. However, most of these indices are generally focused on simple analysis and description of the characterization of the geometric and spatial properties of categorical map patterns. These indices can hardly obtain the information about the spatio-temporal dynamic changes of landscape patterns, especially when multi-temporal remote sensing data are used. In this paper, a new landscape index, i.e., landscape expansion index (LEI), is proposed to solve such problems. In contrast with conventional landscape indices which are capable of reflecting the spatial characteristics for only one single time point, LEI and its variants can capture the information of the formation processes of a landscape pattern. This allows one to quantify the dynamic changes in two or more time points. These proposed indices have been applied to the measurement of the urban expansion of Dongguan in Guangdong province, China, for the period of 1988 2006. The analysis identifies three urban growth types, i.e., infilling, edge-expansion and outlying. A further analysis of different values of LEI in each period reveals a general temporal transition between phases of diffusion and coalescence in urban growth. This implies that the regularity in the spatiotemporal pattern of urban development in Dongguan, is consistent with the explanations according to urban development theories.

DOI

[31]
郭冠华,吴志峰,刘晓南.城市热环境季相变异及与非渗透地表的定量关系分析——以广州市中心区为例[J].生态环境学报,2015,24(2):270-277.

[ Guo G H, Wu Z F, Liu X N.Seasonal variations of urban heat environment and its relationship to impervious surface: A case study of Guangzhou core urban area[J]. Ecology and Environment Sciences, 2015,24(2):270-277. ]

[32]
邬建国. 景观生态学[M].北京:高等教育出版社,2001.

[ Wu J G.Landscape Ecology[M]. Beijing: Higher Education Press, 2001. ]

[33]
王鹏龙,张建明,吕荣芳.基于空间自相关的兰州市热环境[J].生态学杂志,2014,33(4):1089-1095.lt;div style="line-height: 150%">基于Landsat-8 OLI/TIRS数据,计算得到亮度温度热场,采用空间自相关方法分析了河谷型城市兰州市热环境的空间分布与内部结构。结果表明:兰州城市热环境的高温中心主要集中在4个主城区的工商业集中和人口密集区域,黄河及两岸的绿化带形成了一条贯穿城区的相对低温通道;波段10的热场能更好地突出高温中心和低温区域,同一土地利用类型的亮度温度分布更为集中,有利于城市热环境的分析;城市亮度温度热场具有高度的空间自相关性;相比较而言,波段10的亮度温度热场空间依赖性更好;在同等分辨率尺度下,城市热环境研究的采样间隔尺度可以确定为1 km;局部空间自相关能很好描述城市热环境内部关联模式,同时有效监测城市热环境的空间异常值区域,为城市生态规划提供依据。</div><div style="line-height: 150%"></br>&nbsp;</div>

[ Wang P L, Zhang J M, Lv R F.Urban thermal environment pattern with spatial autocorrelation in Lanzhou[J]. Chinese Journal of Ecology, 2014,33(4):1089-1095. ]

[34]
谢正峰,王倩.广州市土地利用程度的空间自相关分析[J].热带地理,2009,29(2):129-133.分析了1990-2004年广州市土地利用结构的变化和基于Moran's I的土地利用程度空间自相关变化.广州市土地利用结构中,耕地和林地面积占较大比例,但是面积比例在减少;而建设用地和水域用地的面积比例较小,但有所增加.广州市土地利用程度呈高度的正全局空间自相关,各局部空间自相关类型呈同心圆分布,中间为高高集聚,外围为低低集聚,两者之间为非集聚和零散的高低、低高集聚,呈现出单中心结构.1995年以后,Moran's I有所下降,说明这种单中心结构在弱化.单中心结构的优点在于增强中心地区土地集约利用的空间集

DOI

[ Xie Z F, Wang Q.Spatial autocorrelation analysis of land use intensity in Guangzhou city[J]. Tropical Geography, 2009,29(2):129-133. ]

[35]
徐双. 近十年长沙热环境空间格局演变研究[D].南京:南京大学,2015.

[ Xu S.Spatiotemporal changes of thermal environment pattern in Changsha in the recent past decade[D]. Nanjing: Nanjing University, 2015. ]

[36]
孟丹,王明玉,李小娟,等.京沪穗三地近十年夜间热力景观格局演变对比研究[J].生态学报,2013,33(5):1545-1558.城市热环境是城市生态环境的重要方面,它与城市气候、城市生态、城市灾害有着重要的联系。以北京、上海、广州三地为研究区,选取近10年MODIS的夜晚地表温度(LST)产品MOD11A2,分别采用质心迁移、景观格局指数、空间自相关方法研究京沪穗三地近10年的不同等级热力景观质心迁移演变、格局变迁和空间集聚特征。主要结论为:三地热力景观随郊区向市中心趋近,体现了由低温区、次中温区向中温区、次高温区、高温区过渡的趋势;三地的中温区所占比例最大,城市热力景观破碎度三地中上海市最高,5种热力景观比较,次中温区和高温区的破碎度最高;城市热力景观离散度三地中北京市最高,低温区和高温区的离散度较高。热环境空间自相关分析表明三地均以高温-高温区,低温-低温区集聚为主,北京、广州高温-高温区分布于南部,且集中成片分布,而上海市高温-高温区分布比较离散,相对较为复杂。从分布面积来说,10a中北京、上海表现为先减少后增加,而广州则持续减少。总体而言北京热环境恶化,而广州、上海热环境有所好转。

DOI

[ Meng D, Wang M Y, Li X J, et al.The dynamic change of the thermal environment landscape patterns in Beijing, Shanghai and Guangzhou in the recent past decade[J]. Acta Ecologica Sinica, 2013,33(5):1545-1558. ]

[37]
Peng J, Xie P, Liu Y X, et al.Urban thermal environment dynamics and associated landscape pattern factors: A case study in the Beijing metropolitan region[J]. Remote Sensing of Environment, 2016,173:145-155.

DOI

Outlines

/