Two-Stage Multi-Source Precipitation Data Merging Method Combining Bias Correction and Dynamic Constrained Linear Regression Model

  • XIE Wenhao ,
  • YI Shanzhen , * ,
  • LENG Chuang
Expand
  • School of Civil and Hydraulic Engineering, Huazhong University of Science and Technology, Wuhan 430074, China
* YI Shanzhen, E-mail:

Received date: 2024-08-02

  Revised date: 2024-09-29

  Online published: 2024-11-07

Supported by

National Key Research and Development Program of China(2016YFC0401004)

Independent Innovation Foundation of HUST—Exploration Fund(2016JCTD115)

Abstract

Precipitation merging technology integrates muliple precipitation datasets to obtain more accurate and reliable precipitation information. However, these data sources have inherent systematic biases and precipitation exhibits spatiotemporal heterogeneity. To address these issues, this paper proposed a two-stage precipitation merging method combining bias correction and precipitation spatiotemporal fusion. In the first stage, the biases in precipitation products are corrected by the Experience Cumulative Distribution Function matching method (ECDF). In the second stage, a Dynamic Constrained Linear Regression model (DCLR) is used to determine spatiotemporal weights, followed by weighted averaging of the the bias-corrected precipitation products. The proposed method is termed as ECDF_DCLR. In addition, the Dynamic Bayesian Model Average (DBMA) and Simple Model Average (SMA) are used in the second stage along with ECDF, forming the contrasting methods ECDF_DBMA and ECDF_SMA, to verify the effectiveness of ECDF_DCLR. ECDF_DCLR, ECDF_DBMA and ECDF_SMA were applied to integrate satellite precipitation product IMERG and reanalysis precipitation product ERA5-Land in Southwest China from 2005 to 2017, using precipitation data from ground meteorological stations as the reference for evaluation. Results show that: (1) ECDF can effectively reduce the systematic bias in IMERG and ERA5-Land while improving their accuracy, with the absolute values of RB decreasing by 95.5% and 99.6%, and KGE increasing by 12.7% and 41.5%, respectively. ECDF also enhances the precipitation event detection capability of ERA5-Land (The CSI of ERA5-Land increases by 7.8%), but has a minimal impact on IMERG (The CSI of IMERG remains unchanged at 0.53). Additionally, it is necessary to perform bias correction before fusion, as the KGEs and CSIs of precipitation products generated by combining bias correction and spatiotemporal fusion are, on average, 11.5% and 3.1% higher than those generated by spatiotemporal fusion alone, respectively. (2) DCLR, SMA, and DBMA all effectively integrate precipitation products. Among the three methods, DCLR has the best accuracy of precipitation fusion. There is little difference between them in improving the detection ability of precipitation events. At different time scales, spatial scale, and different altitude grades, the KGEs and CSIs of three fusion precipitation products are mostly greater than or close to the KGE and CSI of the best data source. Among fusion precipitation products, the precipitation product fused by DCLR has the highest KGE. While the differences in CSIs between fusion precipitation products do no exceed 0.01. Compared to Geographically Weighted Regression and Kriging with External Drift, the most metrics of ECDF_DCLR perform better, with KGE and CSI at least 4.3% and 1.8% higher than the former, respectively. In short, the precipitation merging method combined with ECDF and DCLR can provide more accurate precipitation data for Southwest China and offer new insights into multi-source precipitation data merging research.

Cite this article

XIE Wenhao , YI Shanzhen , LENG Chuang . Two-Stage Multi-Source Precipitation Data Merging Method Combining Bias Correction and Dynamic Constrained Linear Regression Model[J]. Journal of Geo-information Science, 2024 , 26(11) : 2506 -2528 . DOI: 10.12082/dqxxkx.2024.240432

1 引言

降水是全球能量交换和水文循环的核心要素,对地表水文过程具有至关重要的驱动作用[1-3]。在水文分析、水资源管理、地质灾害预警等领域,高精度的降水数据尤为关键[4]。然而,受到天气形势、地理位置和人类活动等因素及其相互作用的影响,降水呈现复杂的时空变异特征[5],这使得获得高质量降水数据极具挑战性。
降水数据的来源主要有雨量计测量、遥感技术观测(包括天气雷达和气象卫星)和再分析模型模拟。雨量计能获取高精度的点尺度降水数据,但其布设通常稀疏且不均匀[6],特别是在偏远地区、山区和海洋,难以准确反映降水的空间分布特征。天气雷达能实现雷达站周围云和降水系统高时空分辨率的3维连续观测和跟踪[7],但因高建设和维护成本,其布设密度有限,并且受不稳定的反射率-降雨率转换关系、地面杂波污染和地形遮挡等因素的影响[8]。气象卫星通过搭载在极轨卫星和地球同步卫星上的可见光、红外、被动/主动微波传感器,进行多谱段、全天候、大范围的空间连续观测[9-10]。然而,卫星降水产品空间分辨率较低,精度受采样频率、传感器性能及反演算法等因素的限制[11]。再分析模型通过数据同化技术,将观测数据与数值天气预报模型融合,生成时空连续、长期和多层次的全球大气状况均匀网格数据集[12]。其中降水数据来自模型输出,而非作为观测数据同化,因而具有较大的不确定性,且模型性能、数据同化算法和观测数据也会影响其精度[13]
许多区域和全球范围内的验证结果表明,包括卫星观测以及再分析模型模拟在内的降水产品通常与雨量站观测数据存在较大差异,如较低的相关性、较大的系统误差和较低的降水事件探测事件能力[14-18]。为减少降水产品的系统偏差,国内外学者已提出多种偏差校正技术,如概率密度函数匹配[19]、分位数映射[20-21]、乘法校正[22-23]等。这些方法证明偏差校正方法能够有效提高降水产品的精度,使之更符合实际地理和气候条件。
不同来源的降水数据虽然面向同一观测对象,但其尺度和误差特征各异。利用数据融合技术整合多种降水数据,能够最大限度发挥各个数据源的优势,从而获取更准确可靠的降水信息[24]。目前,国内外学者在相关领域已提出大量降水融合方法,如地统计方法[25-26]、机器学习[27-30]、贝叶斯模型平均[31]、地理加权回归[32-33]。其中,地统计方法、贝叶斯模型平均和地理加权回归具有建模过程明确、内部机制可被理解和可解释性强的特点;但它们建立在一些数学假设的基础上,在描述降水与环境变量之间的复杂关系时存在局限性。相对而言,机器学习,尤其是深度学习,可以处理复杂的非线性关系,无需构建明确的统计模型;然而其对高质量数据的需求较大,且内部工作原理难以理解、可解释性差。
尽管上述融合方法均能提高降水数据的可靠性,但由于直接融合未经校正的降水数据源,融合结果的准确性会受到数据源中误差的影响。因此,一些学者开发了偏差校正与降水融合相结合的多阶段降水融合框架,主要有“校正+融合”和“融合+校正”两类。“校正+融合”是先校正降水数据源后进行融合,如贝叶斯推断校正+贝叶斯权重融合[34]、陆地的累积分布函数匹配(海洋的重新缩放策略)校正+最优插值法融合[35]、概率密度函数匹配校正+最优插值法融合[36]。这类方法能够确保数据源之间的一致性,但需要额外计算资源逐个校正降水产品。“融合+校正”是先融合降水数据源后进行校正,如支持向量回归融合+基于分位数校正[37]和Stacking集成算法结合地理加权回归融合+局部强度缩放校正[38]。这类方法只需优化单个融合降水产品,但校正时难以单独识别和调整各个数据源的误差。
相较于气温,降水具有更强的时空异质性。为了适应这种特性,一些研究者开发了动态融合方法,以提高融合降水产品的性能。相较于静态融合方法,这些方法通过动态调整拟合参数或最优权重,能够更好地处理降水时空特征各不相同的多个降水产品。例如,动态贝叶斯模型平均算法[39]、动态加权最小二乘法[40]和动态聚类贝叶斯算法[41]等。其中动态贝叶斯模型平均算法(Dynamic Bayesian Model Averaging, DBMA)能够显式表达融合数据源的不确定性,这种独特的性能使得此方法被应用于在淮河流域[42]、青藏高原[43]和埃塞俄比亚阿瓦什河流域[44]等多个地区的多源数据融合。但该方法需要预设先验分布,涉及到概率计算和更新,在数据量很大或模型较复杂时,计算复杂度会显著增加。
约束线性回归模型(Constrained Linear Regression Model,CLR)是在线性回归模型的基础上,添加额外的约束条件限制模型参数。本文提出了CLR的动态版本,即动态约束线性回归模型(Dynamic Constrained Linear Regression Model,DCLR),其在每个时间步和空间点上分别建立CLR模型,以捕捉降水的时空异质性。与机器学习以及深度学习相比,DCLR具有结构简单明确的优点,无需大量高质量数据训练,计算量较小,其获得的权重可以直接反映各数据源的性能差异;与动态贝叶斯算法(如动态贝叶斯模型平均和动态聚类贝叶斯算法)相比,DCLR无需定义先验分布和进行复杂的概率计算和更新。
鉴于目前综合考虑降水数据源偏差和降水时空异质性的融合方法较为稀少,本文提出了一种结合偏差校正和时空融合的多源降水融合方法。在偏差校正阶段,选择经验累积分布函数匹配法(Empirical Cumulative Distribution Function matching,ECDF)校正降水产品的偏差;在时空融合阶段,应用DCLR获取时空权重,并对降水产品加权平均生成高质量的日降水数据。将本文提出的方法称为ECDF_DCLR。为了验证所提方法的有效性,在时空融合阶段分别使用DBMA和简单模型平均(Simple Model Averaging,SMA)与偏差校正阶段的ECDF结合,形成对照方法ECDF_DBMA和ECDF_SMA。本文以西南地区为例,融合卫星降水产品IMERG和再分析降水产品ERA5-Land,并对比ECDF_DCLR、ECDF_DBMA和ECDF_SMA的性能。

2 研究方法

2.1 降水数据融合流程

本文提出了一种结合偏差校正和动态约束线性回归模型的两阶段多源降水数据融合方法,以生成高质量的降水数据。同时,还提出了2种对照方法,即偏差校正和动态贝叶斯模型平均组合的两阶段融合方法以及偏差校正和简单模型平均组合的两阶段融合方法,以生成对照组的融合降水产品。本文的降水数据融合流程包括3个主要阶段:数据预处理、偏差校正和降水时空融合(图1),具体步骤如下:
图1 结合偏差校正和降水时空融合的两阶段多源降水数据融合的技术路线

Fig. 1 Flowchart of two-stage multi-source precipitation data merging combining bias correction and precipitation spatio-temporal fusion

(1) 降水产品预处理。气象站雨量计记录的日降水量是从北京时间前日20:00—当日20:00(对应协调世界时12:00—12:00 UTC)的累计降水量,将该时间段的降水量定义为日降水量。将12:00— 12:00 UTC时间段内的半小时IMERG和小时ERA5-Land累积成日降水量,并进行重采样,确保它们具有相同的0.1°×0.1°网格。
(2) 降水产品偏差校正。选择站点降水作为偏差校正的基准降水数据。首先,使用所有训练站点的全序列降水记录和对应的降水产品数据,分别估计站点和降水产品的经验累积分布函数。然后,通过ECDF(式(1))进行校正,得到校正后的降水产品。将校正后的IMERG和ERA5-Land分别记为ECDF_IMERG和ECDF_ERA5-Land。
(3) 降水时空融合。校正后降水产品的融合包括以下3个分步骤:
① 获取时变权重。在每个训练站点处,使用动态约束线性回归模型(DCLR)获取ECDF_IMERG和ECDF_ERA5-Land的时变权重序列。DCLR为约束线性回归模型(CLR)的动态版本,即通过滑动窗口动态游历降水时间序列,使用窗口内的降水数据通过CLR计算当前时间的权重。参考Ma等[39]的研究,滑动窗口的大小设定为以当前时间为中心,前后3年,每年41 d。
② 获取网格时空权重。将获取的时变权重序列通过Sheremap算法[45]插值成0.1°×0.1°网格分辨率,并归一化处理,得到网格时空权重。
③ 生成融合降水产品。基于DCLR网格时空权重,对ECDF_IMERG和ECDF_ERA5-Land加权平均,生成最终的融合降水产品,记为ECDF_DCLR。
④ 生成对照组的融合降水产品。作为DCLR方法的对照,使用贝叶斯模型平均(BMA)的动态版本DBMA(与DCLR和CLR之间的关系类似)通过上述步骤①—步骤③ 生成融合降水产品,记为ECDF_DBMA。此外,使用简单模型平均(SMA)直接对ECDF_IMERG和ECDF_ERA5-Land进行平均,生成的产品记为ECDF_SMA。

2.2 经验累积分布函数匹配法(ECDF)

经验累积分布函数匹配法(ECDF)是降水产品偏差校正中的经典方法之一[46-47],其原理是将待校正降水产品的经验累积概率映射到基准降水数据的经验累积概率上[48]。因为ECDF使用干湿日降水记录估计经验累积概率分布,所以它不仅能校正非零降水,也能校正零降水。ECDF的校正公式如下所示:
P c t = e c d f r e f - 1 e c d f p p P o t
式中: P c t P o t分别为时间t处校正后的降水值和原始降水值; e c d f r e f - 1 e c d f p p分别为基准降水数据的逆经验累积分布函数和降水产品的经验累积分布函数。

2.3 约束线性回归模型(CLR)

约束线性回归模型(CLR)是一种在线性回归模型的基础上引入额外约束条件限制回归参数的方法。与BMA相比,CLR具有结构简单、计算量相对较小、无需定义先验分布等优点;而BMA存在计算复杂、仅在先验信息可用时性能才相对较好、需要为模型参数寻找合适的先验等不足[40]。本文参考黄文焕等[49]、吴平等[50]和崔雪森等[51]的工作,使用如下的CLR形式:
y = w 1 X 1 + w 2 X 2 + + w n X n + ε                 ε ~ N ( 0 , σ 2 ) i = 1 n w i = 1
式中:n为降水产品数量;   X 1 ,   X 2 ,   ,   X n代表各个降水产品; w 1 ,   w 2 ,   ,   w n代表系数; y为站点降水数据;ε代表独立同分布的残差,其服从均值为0、方差为 σ 2的高斯分布; i = 1 n w i = 1为约束条件,确保系数之和为1,此条件和BMA模型中权重之和为1的条件一致。CLR系数求解的步骤是先将系数求解问题转化为二次规划问题,再通过Goldfarb和 Idnani的“Dual method”[52-53]求解该二次规划问题。获取系数之后,融合降水产品的最终降水值为y的均值,可以表示为:
E y = i = 1 n w i X i
由于式(3)和式(7)的形式相同,因此CLR的系数亦可称为权重。

2.4 贝叶斯模型平均(BMA)

贝叶斯模型平均(BMA)是一种基于贝叶斯理论的多模型集成技术,通过集成成员的先验概率和似然函数获得后验概率,然后将多个模型的预测结果按照其后验概率加权平均,从而集成多个模型的信息[54-55]。在本文中,降水产品被视为BMA的集成成员,BMA降水融合的过程即是给每个降水产品分配权重,以获得相对于站点观测数据的良好拟合。
根据总概率准则,BMA融合降水产品的后验概率分布可表示为:
p y | G = k = 1 K p M k | G p y | M k
k = 1 K p M k | G = 1
式中: yG分别表示融合降水产品和站点观测降水; K表示BMA融合的降水产品数量; p M k | G为给定站点观测降水数据时,降水产品Mk的性能在所有降水产品中最好的后验概率;   p y | M k表示基于降水产品Mk的融合降水产品的后验分布; p y | G表示基于站点观测降水数据的融合降水产品的后验分布。
以权重wk表示 p M k | G,式(4)更新为:
p y | G = k = 1 K w k p y | M k
此外,融合降水产品的后验均值 E y | G和方差 V a r y | G可表示为:
E y | G = k = 1 K w k M k
V a r y | G = k = 1 K w k M k - E y | G 2 + k = 1 K w k σ k 2
式中: σ k 2为降水产品Mk相对于站点降水数据的方差。
假设 p y | M k为高斯分布分布,那么BMA的对数似然函数为:
L w k , σ k 2 = l o g k = 1 K w k p y | M k                                     = l o g k = 1 K w k g y | M k , σ k 2
式中: g y | 表示以均值为Mk、方差为 σ k 2的高斯分布。权重的求解使用期望最大化E-M(Expectation-Maximization)算法最大化对数似然函数[54-55]获得。在获得权重之后,使用式(7)计算融合降水产品的后验均值,将其作为最终的融合降水值。

2.5 简单模型平均(SMA)

简单模型平均(SMA)定义为所有降水产品的平均,用如式(10)表示。
Y = i = 1 n 1 n X i
式中: Y为融合降水产品; Xi为待融合的降水产品,n为降水产品数量。从该公式看出,每个降水产品被赋予了相同的权重。

2.6 评价指标

根据气象站坐标信息,采用栅格对点法对原始降水产品、偏差校正后的降水产品和融合降水产品进行可靠性检验。采用7个指标评估降水产品的性能,其中4个定量指标评估精度,3个分类指标评估捕捉降水事件的能力。

2.6.1 定量指标

定量统计指标包括均方根误差(RMSE)、相关系数(CC)、相对偏差(RB)和修正Kling-Gupta效率系数(KGE)。这4种指标用于描述降水产品与站点观测数据之间的平均误差、线性相关性、系统偏差和综合误差,它们的计算公式如下:
R M S E = i = 1 n 1 n G i - S i 2
C C = i = 1 n G i - G - S i - S - i = 1 n G i - G - 2 i = 1 n S i - S - 2
R B = i = 1 n S i - G i i = 1 n G i × 100 %
K G E = 1 - C C - 1 2 + β - 1 2 + γ - 1 2 ,                                 β = S - G - ,   γ = C V s C V G
式中:Gi表示站点观测数据; Si表示降水产品; G - S -分别表示站点数据和降水产品的平均值; C V s C V G分别表示站点数据和降水产品的变化系数; n表示降水记录的数量。

2.6.2 分类指标

分类指标包括命中率(POD)、误报率(FAR)和关键成功指数(CSI),分别反映降水产品识别降水事件的正确探测比例、误报率和综合探测能力。POD、FARCSI的计算,需要一个降水阈值,本文设置1 mm/d,区分降水和无降水事件。3种指标的计算公式如下:
P O D = H H + M
F A R = F H + F
C S I = 1 1 / 1 - F A R + 1 / P O D - 1 = H H + M + F
式中:H表示降水产品正确探测到的降水事件数; F表示降水产品错误探测到的降水事件数; M表示降水产品未探测到的降水事件数。

3 研究区概况与数据来源

3.1 研究区概况

西南地区包括四川省、贵州省、云南省和重庆市,地跨中国3大地势阶梯,其中主体部分位于第二阶梯(图2(a))。该地区北部为四川盆地,南部为云贵高原,西部为横断山区,地形复杂多样,包括高原、山地、丘陵、盆地和平原[56-57]。西南地区位于“亚洲水塔”(青藏高原及其周边地区)东南部。在热力和大地形动力的作用下,“亚洲水塔”不断从印度洋和西太平洋地区抽吸水汽。水汽输送到西南地区后,在地形的影响下,降水展现出显著的空间分布差异,呈现出北少南多的特征[58-60]。西南地区夏季炎热多雨,水汽主要来自阿拉伯海、孟加拉湾和印度洋以及内陆再蒸发水汽的补给;而冬季温和少雨,水汽主要依赖西风带的输送[61]。西南地区人口稠密,水资源丰富,是重要的粮食产地。因此,深入理解该地区的降水时空特征有助于区域农业生产、生态环境保护及水资源管理[62]
图2 西南地区地形和气象站分布

Fig. 2 Distribution of terrain and meteorological stations in Southwest China

3.2 数据来源

3.2.1 气象站数据

本文使用了2005—2017年来自西南地区117个气象站的日降水观测数据,这些数据由中国气象数据网提供(http://data.cma.cn/)。其中,92个站点(红色圆点)用于训练模型,其余25个站点(绿色星星)用于验证模型,如图2(b)所示。站点选取流程如下:① 按照海拔高度将站点分级; ② 通过分层抽样从每个海拔等级中以8:2的比例随机抽取训练站点和验证站点,以确保验证站点能够充分代表不同海拔等级,从而保证评估的全面性和准确性。具体分级如下:0~1 000 m、 1 000~1 500 m、1 500~2 500 m和 >2 500 m。根据这一分级,4个海拔等级上的站点数量来分别为50、23、27和17个。从每个等级中随机选取10、5、6和4个站点作为验证站点,占比分别约为20%、21.7%、22.2%和23.5%,剩余92个站点作为训练站点。
由于站点降水观测存在湿润损失、蒸发损失、动力损失、微量降水损失[63],站点观测值通常低于真实降水量,因此在使用之前需要进行偏差校正。考虑到蒸发损失和微量降水损失较小并且难以给出可信的估计,本文不对这2种损失进行校正。参考杨大庆在乌鲁木齐河源区的降水对比观测实验[64-66],本文采用了杨大庆提出的湿润损失和动力损失校正方案,该方案已在新疆地区[67]、青藏高原唐古拉山区[68]、湖南省[69]等地气象站降水资料的校正中得到了应用和验证。

3.2.2 IMERG产品

全球降水测量计划(Global Precipitation Measurement,GPM)由美国宇航局(NASA)和日本宇航局(JAXA)共同发起,是热带降水测量计划(Tropical Rainfall Measurement Mission,TRMM)的继任计划[70]。与TRMM产品相比,GPM产品有更大的覆盖范围(拓展至南北纬65°)和更高的时空分辨率,增强了固态和微量降水的探测能力[71]。IMERG(Integrated Multi-satellitE Retrievals for GPM)作为GPM的代表性产品之一,提供全球覆盖的降水数据,其时间分辨率为0.5 h,空间分辨率为0.1°×0.1°。IMERG产品分为3种类型:“Early-Run”、“Late-Run”和“Final Run”。“Early-Run”和“Late-Run”为准实时产品,提供相对及时的降水数据。“Final Run”为研究级产品,经过地面站点逐月降水数据的偏差校正,其精度更高。由于西南地区的部分站点降水数据已用于“Final Run”的生成,且这些数据并未在ERA5-Land生成过程中使用。为了确保IMERG能公平地与ERA5-Land进行精度比较,并避免后续降水融合中重复使用这些站点数据,本文选择未经站点偏差校正的“Final Run”产品,涵盖2005—2017年,其可从戈达德地球科学数据和信息服务中心(https://disc.gsfc.nasa.gov/)下载。

3.2.3 ERA5-Land产品

ERA5是欧洲中期天气预报中心(ECMWF)开发的第五代再分析产品,它是基于综合预报系统Cy41r2,采用4维数据同化技术整合来自不同观测系统(例如卫星和站点数据)的测量数据,生成格点分辨率31 km、时间分辨率1 h、涵盖1950年至今的全球格点数据[72]。ERA5-Land是ERA5的空间增强版,具有9 km的空间分辨率,时间分辨率与ERA5相同。ERA5-Land通过利用ERA5提供的大气底层气象场,强迫HTESSEL陆面模块生成[73]。在不同的机构发布的再分析降水产品中,ECMWF的第4代再分析产品ERA5-Interim曾被认为提供了最好的降水估计[17,74]。然而,随着ERA5和ERA5-Land的发布,一些研究发现第五代产品优于ERA5-Interim[75-76]。本文使用ERA5-Land的2005—2017年0.1°×0.1°规则经纬网插值产品,其从欧洲哥白尼气候变化服务数据平台(https://cds.climate.copernicus.eu/)下载。

4 结果与分析

4.1 整体评估

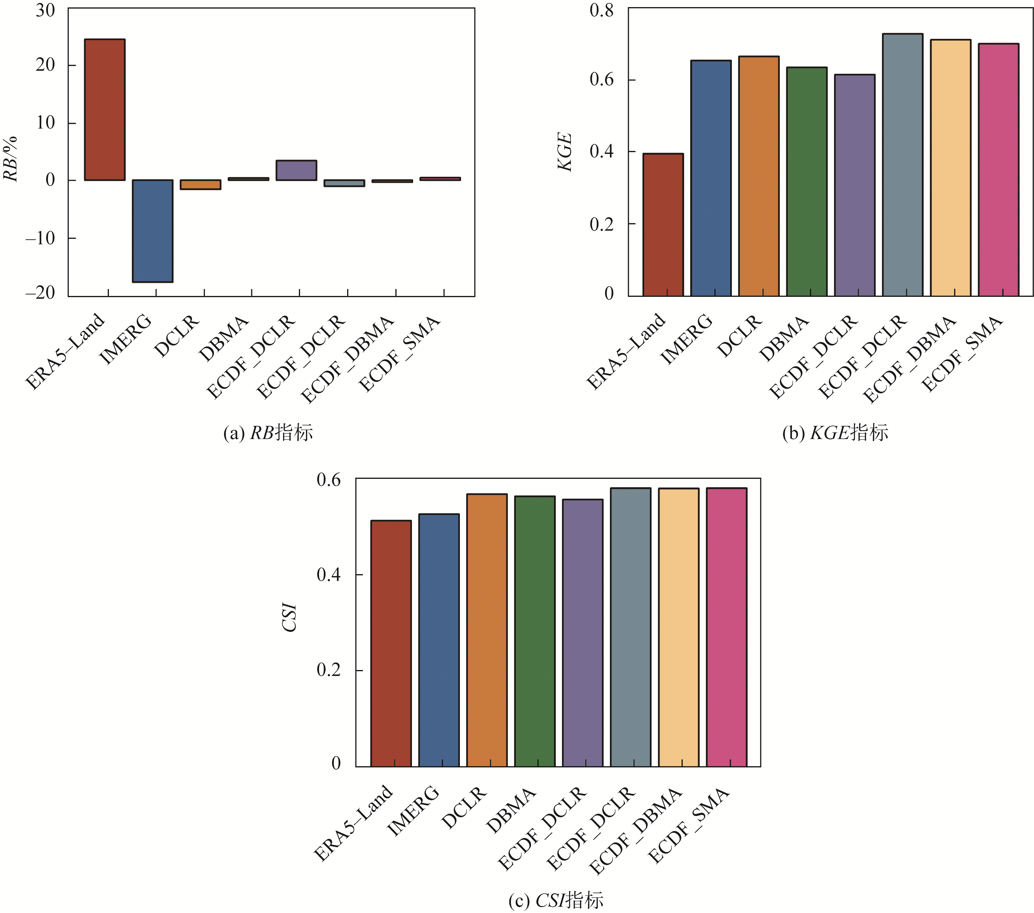
表1列出了2005—2017年间以验证站点数据为基准,西南地区不同降水产品的7种评价指标。原始降水产品中,IMERG的精度明显高于ERA5-Land,其RMSE、CC和KGE分别为6.80 mm/d、0.71和0.63,而ERA5-Land相应的3个指标为7.67 mm/d、0.60和0.41。在RB上,ERA5-Land存在降水高估现象(RB=24.4%),而IMERG倾向低估降水(RB= -17.6%)。POD、FARCSI显示,ERA5-Land探测率(POD=0.92)高于IMERG(POD=0.66),但其误报率(FAR=0.47)也高于IMERG(FAR=0.28),综合之下,ERA5-Land的降水事件探测能力(CSI=0.51)略逊于IMERG(CSI=0.53)。
表1 西南地区2005—2017年各个降水产品与验证站点数据的评价指标

Tab. 1 Evaluation indicators of precipitation products against validation station observations in Southwest China from 2005 to 2017

产品 RMSE/(mm/d) RB/% CC KGE POD FAR CSI
ERA5-Land 7.67 24.4 0.60 0.41 0.92 0.47 0.51
IMERG 6.80 -17.6 0.71 0.63 0.66 0.28 0.53
ECDF_ERA5-Land 8.37 0.1 0.59 0.58 0.72 0.31 0.55
ECDF_IMERG 6.86 0.8 0.72 0.71 0.71 0.32 0.53
ECDF_DCLR 6.06 -1.1 0.77 0.73 0.80 0.32 0.58
ECDF_DBMA 6.17 -0.3 0.76 0.71 0.80 0.32 0.58
ECDF_SMA 6.29 0.4 0.75 0.70 0.80 0.33 0.58
经过偏差校正后,虽然IMERG和ERA5-Land的RMSE略有上升,但RB的绝对值显著减小,减小比例分别为95.5%和99.6%;同时KGE明显增加,增加比例分别为12.7%和41.5%。显然,ECDF有效地降低了降水产品的系统偏差,并提升了其精度。从CSI来看,偏差校正后,ERA5-Land的CSI增加了0.04,增加比例为7.8%,但IMERG的CSI保持0.53不变,表明偏差校正能够略微提升ERA5-Land的探测降水事件能力,但对IMERG影响不大。
降水融合后,从7种指标来看,3种融合降水产品的精度均高于或接近任何融合数据源,它们的探测降水事件能力也优于任何单一数据源。具体而言,3种融合降水产品的RMSE、RB绝对值、CCKGE最低值分别为6.29 mm/d、1.1%、0.75、0.70,它们的表现好于或接近ECDF_ERA5-Land和ECDF_IMERG对应指标的最高值(6.86 mm/d、0.1%、0.72和0.71);3种融合降水产品的PODCSI分别不小于0.80和0.58,而融合数据源对应指标分别不大于0.72和0.55。这些结果表明,DCLR、DBMA和SMA均能有效提升降水产品的性能。此外,定量指标显示,3种方法中, DCLR在精度提升方面的性能最好, RMSE、CCKGE表现最好,其次是DBMA,SMA性能最差;但3种方法对降水事件探测能力的提升效果基本相同,它们的POD均为0.80,CSI均为0.58,FAR的差距不超过0.01。

4.2 多时间尺度评估

4.2.1 月尺度

图3展示了各个降水产品与验证站点数据的逐月RB、KGECSI。由图可见,IMERG和ERA5-Land在降水量丰富月份(5—9月)的精度和探测降水事件能力明显优于降水量小的月份。IMERG(ERA5-Land)在5—9月的KGECSI平均值分别为0.66和0.61(0.40和0.56),而其余月份相应指标平均值分别为0.25和0.34(0.12和0.42)。从RB来看,IMERG在所有月份上均低估降水,其RB的取值范围是-50.5%~-7.6%;而ERA5-Land则普遍高估降水,其RB的取值是从10.5%到112.2%。
图3 西南地区各个降水产品与验证站点数据的逐月RB、KGECSI

Fig. 3 Monthly RBs, KGEs and CSIs of precipitation products against validation station observations in Southwest China

偏差校正后,在月尺度上,IMERG和ERA5-Land的RB绝对值普遍减小,平均减小幅度为11.0%和39.5%;两者的KGE普遍提升,平均增加幅度分别为0.12和0.34。此外,12月—次年4月IMERG和ERA5-Land的RB绝对值分别平均减少了17.3%和69.7%,KGE分别平均增加了0.23和0.57;而在其余月份上,两者的RB绝对值分别平均减小了6.5%和18.0%,KGE分别平均增加了0.04和0.18。由此可见,在12月—次年4月,ECDF对IMERG和ERA5-Land偏差校正和降水精度提升的效果显著好于其余月份。就CSI的变化而言,IMERG的CSI平均变化幅度为0.01, ERA5-Land的为0.02,二者的变化幅度不大,体现出ECDF对月尺度上两者探测降水事件能力的提升较为有限。
降水融合后的结果显示,在各个月份上,3种融合降水产品的性能普遍优于或者接近其数据源中的最佳产品,它们的RB位于ECDF_IMERG和ECDF_ERA5-Land之间(图3(a)中的每个月份上,代表ECDF_DCLR、ECDF_DBMA和ECDF_SMA的点位于代表ECDF_IMERG和ECDF_ERA5-Land的点之间),KGECSI值大多大于或者接近数据源对应指标的最佳值(图3(b)图3(c)中的每个月份上,代表3种融合降水产品的点大多位于最高处)。图4进一步放大了图3中3种融合降水产品的逐月KGECSI。结果表明,DCLR方法在大部分月份的精度提升效果最佳,除了3月和12月,ECDF_DCLR的KGE在其余10个月上最高,比ECDF_DBMA和ECDF_SMA的KGE分别平均高出0.017和0.021;然而,DCLR、DBMA和SMA在探测降水事件能力上的改善相近,它们的CSI在大部分月份(2—11月)上的差距不超过0.01。
图4 3种融合降水产品逐月KGE和CSI的局部放大图

Fig. 4 Zoomed-in views of monthly KGEs and CSIs of three merged precipitation products

4.2.2 年尺度

图5展示了各个降水产品与验证站点数据的逐年RB、KGECSI。由图5可知,ERA5-Land在各年份的降水偏高,RB的取值范围是17.9%~37.1%,而IMERG则是偏低,RB从-6.8%到-25.1%。IMERG在大多数年份的性能更好,其KGECSI普遍高于ERA5-Land,图5(b)图5(c)中代表IMERG的点基本位于代表ERA5-Land的点上方。
图5 西南地区各个降水产品与验证站点数据的逐年RB、KGECSI

Fig. 5 Annual RBs, KGEs and CSIs of precipitation products against validation station observations in Southwest China

偏差校正后,IMERG和ERA5-Land在年尺度上的RB绝对值普遍减小,平均减小幅度分别为13.6%和20.7%,;同时KGE普遍增加,平均增加幅度分别为0.06和0.19。ERA5-Land的CSI在所有年份上均有所上升,增加的范围在0.01~0.05之间,而IMERG-Land的CSI的变化幅度在-0.01和0.02之间。
在所有年份上,3种降水融合产品ECDF_DCLR、ECDF_DBMA和ECDF_SMA的RB处在2个融合数据源的RB之间(图5(a)中代表降水融合产品的点位于代表IMERG和ERA5-Land的点之间),KGE接近或大于最佳数据源的KGE图5(b)中代表降水融合产品的点位于大多处于最高处),CSI则大于任何单一数据源的CSI图5(c)中代表降水融合产品的点位于在全部年份上处于最高处),这些结果再次表明3种融合降水产品的性能优于或者接近其数据源中性能最佳的降水产品。DCLR、DBMA和SMA中,DCLR方法在各个年份的KGE(ECDF_DCLR的多年平均KGE为0.72)略高于DBMA(ECDF_DBMA的多年平均KGE为0.71),DBMA的KGE则略高于SMA(ECDF_SMA的多年平均KGE为0.70),然而它们CSI的差距在0.01以内。

4.3 空间尺度评估

4.3.1 日平均降水空间分布

图6绘制了各个降水产品和地面站点观测在西南地区的日均降水量空间分布。其中,站点降水分布图是通过对117个站点的日均降水量进行反距离权重插值得到的。通过相互对比图中各个子图可以发现,IMERG总体上能够较好地反映实际降水的空间分布特征,即东部和西南部降水量较高、西北部降水量较低。然而,IMERG存在明显的降水低估问题。相对而言,ERA5-Land在整个区域普遍高估降水。偏差校正后,IMERG日均降水量有所增加、ERA5-Land则有所减小,它们与地面观测数据的匹配度得到了提高。3种融合降水产品的空间分布模式相似,相比融合数据源,其雨带走向与站点观测降水更加一致。例如,在云南省和四川省交界处,ECDF_ERA5-Land和ECDF_IMERG分别出现了站点降水空间分布中不存在的降水高值中心和降水低值中心。然而,这些误差在融合降水产品中得到了缓解。综上所述,基于偏差校正和降水时空融合的降水产品与地面实测一致性最高,仅偏差校正的降水产品次之,原始降水产品最差。
图6 西南地区各个降水产品与站点观测的日均降水量空间分布

Fig. 6 Spatial distribution of daily average precipitation for precipitation products and station observations in Southwest China

4.3.2 评价指标空间分布

为了评估各个降水产品在不同位置处的可靠性,将各个降水产品在25个验证站点处的RB、KGECSI通过反距离权重插值,得到如图7图9所示的指标空间分布图。就RB而言,ERA5-Land在西南地区存在降水高估现象,特别是在西部,RB超过40%;而IMERG则表现为降水低估。偏差校正后,ERA5-Land和IMERG的偏离程度明显减小,大部分区域的RB在-20%~20%之间,两者的RB空间分布趋于一致。3种融合降水产品RB的空间分布类似,大部分区域的RB也保持在-20%~20%范围内。这表明偏差校正能有效校正降水产品在空间上的系统偏差,而DCLR、DBMA和SMA对系统偏差的改善不大。
图7 西南地区各个降水产品RB空间分布

Fig. 7 Spatial distribution of RB for precipitation products in Southwest China

图8 西南地区各个降水产品KGE空间分布

Fig. 8 Spatial distribution of KGE for precipitation products in Southwest China

图9 西南地区各个降水产品CSI空间分布

Fig. 9 Spatial distribution of CSI for precipitation products in Southwest China

对于KGE,IMERG在西南地区的表现好于ERA5-Land, ERA5-Land的KGE在绝大部分区域小于0.5,但IMERG则高于0.5;偏差校正后,ERA5-Land和IMERG的KGE有所提升,ERA5在大部分区域的KGE提升到了0.5以上,而IMERG大于0.5的区域面积明显增加。3种融合降水产品KGE大于0.7的区域面积从高到底依次是ECDF_DCLR、ECDF_DBMA和ECDF_SMA,ECDF_SMA的KGE空间分布接近ECDF_IMERG,表明DCLR方法在空间上的表现略优于DBMA,DBMA又略优于SMA。
CSI而言,ERA5-Land和IMERG的CSI在大部分区域小于0.55;偏差校正后, IMERG的CSI空间分布变化不大,但ERA5-Land小于0.5的区域面积明显减小;3种融合降水产品CSI超过0.55的面积明显大于ECDF_ERA5-Land和ECDF_IMERG,并且3者的CSI空间分布基本一致。这些结果说明,偏差校正能改善ERA5-Land空间上的探测降水事件能力,但对IMERG影响有限;DCLR、DBMA和SMA能提高降水产品在大部分区域的探测降水事件能力。

4.3.3 不同海拔处的评价指标

计算4个海拔等级(<1 000 m、1 000~1 500 m、1 500~2 500 m和>2 500 m)上各个降水产品与验证站点的RB、KGECSI,如表2所示。结果显示,相较其余海拔高度,在>2 500 m的海拔等级上,ERA5-Land和IMERG的精度最差,ERA5-Land的RB达到60.6%,KGE只有0.19,而IMERG的RB为-26.7%,KGE为0.56。这表明在复杂地形条件下,卫星和再分析模型对降水估计的能力较差。
表2 不同海拔处各个降水产品与验证站点数据的RB、KGE和CSI

Tab. 2 RBs, KGEs and CSIs of precipitation products against validation station observations in different altitudes

RB/%
产品 <1 000 m 1 000~15 00 m 1 500~2 500 m >2 500 m
ERA5-Land 20.3 7.7 33.5 60.6
IMERG -11.1 -23.5 -19.0 -26.7
ECDF_ERA5-Land 4.3 -9.7 -0.1 7.6
ECDF_IMERG 7.2 -8.4 1.0 -3.7
ECDF_DCLR 3.2 -9.8 0 0.2
ECDF_DBMA 4.5 -9.3 0 1.1
ECDF_SMA 5.6 -9.1 0.4 1.9
KGE
产品 <1 000 m 1 000~1 500 m 1 500~2 500 m >2 500 m
ERA5-Land 0.44 0.44 0.32 0.19
IMERG 0.69 0.62 0.63 0.56
ECDF_ERA5-Land 0.60 0.54 0.56 0.59
ECDF_IMERG 0.70 0.72 0.72 0.71
ECDF_DCLR 0.72 0.72 0.72 0.75
ECDF_DBMA 0.71 0.70 0.70 0.73
ECDF_SMA 0.69 0.69 0.69 0.72
CSI
产品 <1 000 m 1 000~1 500 m 1 500~2 500 m >2 500 m
ERA5-Land 0.54 0.53 0.49 0.47
IMERG 0.51 0.52 0.56 0.52
ECDF_ERA5-Land 0.55 0.54 0.55 0.55
ECDF_IMERG 0.51 0.53 0.57 0.53
ECDF_DCLR 0.57 0.57 0.59 0.58
ECDF_DBMA 0.57 0.57 0.60 0.58
ECDF_SMA 0.57 0.57 0.60 0.58
通过偏差校正,IMERG和ERA5-Land在各个海拔等级上偏离程度大多降低,IMERG的RB绝对值减少了3.9%~23.0%,ERA5-Land的RB绝对值除了1 000~1 500 m之外,其余海拔等级上的RB绝对值减少了16.2%~52.0%;同时两者的精度得到改善,它们的KGE有所提升,提升幅度为0.01~0.15和0.10~0.40。值得注意的是,在>1 500 m的海拔上,ERA5-Land的KGECSI提升幅度明显(分别平均提升0.32和0.07)大于其余海拔等级(KGE和CSI分别平均提升0.13和0.01),说明ECDF能有效改善ERA5-Land在山区的性能。
在所有海拔等级上,ECDF_DCLR的KGE均高于ECDF_DBMA,而ECDF_DBMA的KGE则高于ECDF_SMA,它们的CSI相差不超过0.01。这些结果进一步支持DCLR、DBMA和SMA的性能从高到底分别是DCLR、DBMA和SMA。此外,DCLR、DBMA和SMA在不同海拔等级上的融合效果差别不大,无论是在山区(>1 000 m)还是平原(<1 000 m),它们的KGECSI分别均在0.72和0.58左右。

5 讨论

5.1 融合权重的时空模式

DCLR、DBMA和SMA用于降水时空融合的主要区别在于确定降水产品权重的方式。具体而言,DCLR通过最小化误差平方和确定权重,DBMA基于贝叶斯公式通过E-M算法最大化似然函数确定权重,而SMA简单赋予每个降水产品相同权重。由于权重直接影响降水融合的结果,因此权重的分配越合理,相应的融合降水产品就越可靠。
图10图11分别展示了ECDF_DCLR和ECDF_DBMA在空间和时间上的权重分布。图10通过对验证站点处的权重进行反距离权重插值获得,图11则通过对验证站点处权重进行空间平均获得。从图10中可以看出,DCLR在大部分区域赋予ECDF_ERA5-Land的权重低于DBMA赋予ECDF_ERA5-Land的权重,而图8中ECDF_ERA5-Land在西南地区的KGE普遍低于ECDF_IMERG,这表明DCLR在大部分区域倾向于给性能较差的数据源赋予更低的权重。图11显示,在3—10月,DCLR赋予ECDF_ERA5-Land的权重低于ECDF_IMERG,在其余月份则相反。DBMA在除了9—10月之外的其他月份赋予ECDF_IMERG的权重都大于ECDF_ERA5-Land。图3体现出11月—次年2月ECDF_ERA5-Land的精度大于ECDF_IMERG,其余月份相反。显然,DCLR权重的时间序列比DBMA更加合理。
图10 ECDF_DCLR和ECDF_DBMA中融合数据源权重的空间分布

Fig. 10 Spatial distribution of weights of fusion data sources in ECDF_DCLR and ECDF_DBMA

图11 ECDF_DCLR和ECDF_DBMA中融合数据源权重的时间分布

Fig. 11 Temporal distribution of weights of fusion data sources in ECDF_DCLR and ECDF_DBMA

综合上述结果,相较于DBMA,DCLR更注重将较高的权重赋予性能更好的降水产品,因而其获得的融合降水产品更可靠。这可能是因为DBMA方法假设日降水服从正态分布,然而实际日降水分布并不符合这一假设。尽管一些研究通过Box-Cox转换使降水分布更接近正态分布[34,39],但他们仅使用了有降水的数据进行融合,而本文使用了所有降水数据,因此Box-Cox转换并不能使降水分布接近正态分布。另一方面,DCLR方法是通过在约束条件下最小化二乘函数来求解权重,权重大小与融合数据源的精度呈正相关。

5.2 偏差校正对融合结果的影响

为了评估偏差校正对融合结果的影响,本文将IMERG和ERA5-Land直接通过DCLR、DBMA和SMA融合,生成单阶段的融合降水产品,并与两阶段融合降水产品以及原始降水产品相互对比,计算它们的RB、KGECSI,如图12所示。结果表明,单阶段融合降水产品和两阶段融合降水产品的系统偏差均较小,它们的RB取值范围为-1.6%~3.4%,这可能是ERA5-Land的正偏差和IMERG的负偏差互相抵消导致。通过KGECSI可以发现,两阶段融合降水产品的性能好于单阶段融合降水产品,ECDF_DCLR、ECDF_DBMA和ECDF_SMA的KGE分别为0.73、0.71和0.70,高于DCLR、DBMA和SMA的0.67、0.64和0.61;与单阶段融合降水产品相比,两阶段融合降水产品的KGE平均高出11.5%。与此类似,两阶段融合降水产品的CSI平均高出单阶段融合降水产品的3.1%。值得注意的是,直接通过DBMA和SMA融合的单阶段降水产品的KGE(分别为0.64和0.61)甚至低于数据源IMERG(其KGE为0.65)。这些结果表明,在融合前进行偏差校正去除数据源的系统偏差,是提升降水产品质量的必要步骤。此外,无论在单阶段融合降水产品中还是双阶段融合降水产品中,DCLR对应的融合降水产品的KGE始终高于DBMA和SMA,进一步验证了DCLR方法的优越性。
图12 原始降水产品、单阶段融合降水产品和两阶段融合降水产品的RB、KGECSI

Fig. 12 RBs, KGEs, and CSIs of original precipitation products, single-stage fusion precipitation products and two-stage fusion precipitation products

5.3 与其他融合方法的对比

为了进一步评估ECDF_DCLR方法的有效性,将该方法与前人在降水融合工作中使用的地理加权回归(Geographically Weighted Regression,GWR)[32]和带漂移项的克里金(Kriging with External Drift,KED)[26]进行对比。GWR是一种处理空间异质性的空间回归模型,与传统回归分析方法不同,GWR允许回归系数在空间上变化,以更好反映局部特征。具体而言,GWR在每个地理位置上拟合一个局部回归模型,使用周围数据估计回归系数,从而得出一个局部的回归方程。KED是一种结合克里金插值和漂移项的空间插值方法,它不仅考虑空间自相关,还允许捕捉数据中的趋势或漂移。在KED中,漂移项用于描述数据在空间上的系统变化,克里金插值则用于捕捉随机误差。
本文使用GWR和KED在日尺度上融合降水,其中IMERG和ERA5-Land作为自变量,站点降水作为因变量。GWR需要确定核函数和带宽,本文使用双平方核函数,通过赤池信息准则(Akaike information criterion)确定自适应带宽。KED需要确定半变异函数,本文采用球状模型,通过当月日降水的平均实验半变异函数拟合,获得模型的变程、块金值和基台值。表3列出了GWR、KED和ECDF_DCLR融合降水产品以及原始降水产品的评价指标。结果表明,GWR和KED也能有效地融合降水产品,其RMSE、RB、CC、KGECSI均优于数据源IMERG和ERA5-Land对应的指标。例如,GWR和KED的KGECSI分别不低于0.69和0.56,但IMERG和ERA5-Land的KGECSI分别不高于0.63和0.53。然而,与GWR和KED相比,ECDF_DCLR在除了POD之外其余指标上的表现比GWR和KED更佳。例如,ECDF_DCLR的KGECSI分别至少高出GWR和KED对应指标的4.3%和1.8%。这可能归因于以下几点:首先,尽管GWR和KED通过内含的截距项能对数据源中的偏差做一些校正,然而它们难以单独识别和调整每个原始降水产品中的误差,而ECDF_DCLR则每个原始降水产品逐一校正。其次,GWR和KED需要设定的参数多于ECDF_DCLR,后者仅需确定窗口大小即可,GWR和KED参数选择上存在更多的不确定性。此外,KED半变异函数结构的确定依赖于站点降水能否有效反映降水的空间自相关结构,但本文站点密度较为稀疏,这会导致半变异函数参数的估算存在一定的误差。
表3 ECDF_DCLR、GWR和KED融合方法的评价指标

Tab. 3 Evaluation indicators of ECDF_DCLR,GWR and KED merging methods

产品 RMSE/(mm/d) RB/% CC KGE POD FAR CSI
ERA5-Land 7.67 24.4 0.60 0.41 0.92 0.47 0.51
IMERG 6.80 -17.6 0.71 0.63 0.66 0.28 0.53
ECDF_DCLR 6.06 -1.1 0.77 0.73 0.80 0.32 0.58
GWR 6.12 3.2 0.76 0.70 0.88 0.38 0.57
KED 6.12 2.3 0.76 0.69 0.88 0.40 0.56

5.4 不确定性分析

本文使用的气象站点在西南地区分布比较稀疏,平均站点密度仅为1.03站/1万km2,山区更为稀少,因而用于训练和验证的站点数据有限。这可能会影响融合方法的效果,并给融合降水产品的可靠性验证带来误差,特别是在高海拔地区(例如海拔大于2 500 m的验证站点仅为4个)。此外,本文只融合了IMERG和ERA5-Land 2个降水产品,并未考虑加入其他降水产品的组合效应。文献[77]-[78]对多种降水产品进行融合后,发现降水产品的数量和组合对融合结果有影响,但更多输入并不总是提升效果。另外,降水还与地形、高程、温度、风速等地形和气候因子有关,这些因子的加入可能会进一步提升融合降水的准确性,但也会增加融合模型的复杂性。此外,本文在偏差校正阶段使用ECDF对降水产品整体进行校正,而未分时间分地点校正,导致偏差校正后的降水产品整体系统偏差接近0、但不同时间和地点仍然存在一定正负偏差。在降水时空融合阶段,DCLR没有考虑降水/无降水分类误差,这可能限制了融合降水产品的性能。最后,尽管本文所提方法在不同海拔高度处表现一致,显示出其具有一定的适用性,但仍需在其他区域进一步验证其适用性。

6 结论

本文提出了一种偏差校正和降水时空融合相结合的两阶段融合方法,偏差校正阶段使用ECDF进行偏差校正,时空融合阶段通过DCLR实现时空融合。同时,在时空融合阶段利用DBMA和SMA与偏差校正阶段的ECDF结合生成对照融合降水产品。以站点实测降水为基准,利用定量指标和分类指标评估了原始降水产品、偏差校正后的降水产品和融合降水产品在不同时间尺度、空间尺度及不同海拔等级下的性能,分析了融合方法权重分配的合理性和偏差校正对融合结果的影响,并将所提融合方法与GWR和KED融合方法进行了对比,得出以下主要结论:
(1)ECDF能有效降低IMERG和ERA5-Land的系统偏差,同时提高它们的精度,两者RB绝对值减小的比例分别为95.5%和99.6%,KGE增加的比例分别为12.7%和41.5%。此外,ECDF可以略微增强ERA5-Land的探测降水事件能力,然而对IMERG的影响不大,偏差校正后ERA5-Land的CSI增加了7.8%,但IMERG的CSI在偏差校正前后保持0.53不变。
(2)偏差校正对最终融合降水产品的性能提升至关重要,偏差校正与时空融合相结合生成的融合降水产品的性能优于只时空融合生成的降水产品的性能,前者的KGECSI分别平均高出后者KGECSI的11.5%和3.1%。
(3) DCLR、DBMA和SMA均能有效融合降水产品,DCLR降水融合的精度优于DBMA和SMA,3种方法在提高降水事件探测能力上的差异不大。在不同时间尺度、空间尺度和不同海拔等级上,通过DCLR、DBMA和SMA获得的融合降水产品的KGECSI大都大于或接近最佳融合数据源的KGECSI,通过DCLR获得的融合降水产品的KGE在3种融合降水产品中最高,3种融合降水产品CSI的差距基本不超过0.01。
(4)本文所提方法降水融合的性能优于GWR和KED,ECDF_DCLR在大部分指标上表现优于GWR和KED,前者KGECSI分别至少高出GWR和KED对应指标的4.3%和1.8%,体现了本文所提方法的优越性。
(5)本文使用的气象站点分布稀疏,只融合了两种降水产品,没有考虑与降水有关的地形和气候因子以及降水/无降水分类误差,未分时间分地点对降水产品校正,这些构成了本文不确定性的来源。
综上,本文提出的基于ECDF和DCLR的降水融合方法有效去除了降水产品系统偏差,并生成了可靠的融合降水产品。在未来的研究中,可考虑分时间和地点分别进行偏差校正,以验证ECDF偏差校正方法的稳定性;尝试不同数量和组合的降水产品,以探索DCLR方法的适用性;在DCLR融合模型中加入与降水有关的地形和气候因子,以期进一步提高融合降水的准确性;在DCLR方法求解权重的过程中考虑降水/无降水分类误差,以分析其对融合结果的改进。
[1]
Duan Z, Bastiaanssen W G M. First results from Version 7 TRMM 3B43 precipitation product in combination with a new downscaling-calibration procedure[J]. Remote Sensing of Environment, 2013, 131:1-13. DOI:10.1016/j.rse.2012.12.002

[2]
Zhang Y, Wang K C. Global precipitation system scale increased from 2001 to 2020[J]. Journal of Hydrology, 2023, 616:128768. DOI:10.1016/j.jhydrol.2022.128768

[3]
Zhang Y, Wang K C. Global precipitation system size[J]. Environmental Research Letters, 2021, 16(5):054005. DOI:10.1088/1748-9326/abf394

[4]
何青鑫, 陈传法, 王宇辉, 等. 多源遥感日降水数据融合方法:顾及空间自相关的随机森林模型[J]. 地球信息科学学报, 2024, 26(6):1517-1530.

DOI

[Chen C F, Wang Y H, et al. Fusion method for multi-source remote sensing daily precipitation data: Random forest model considering spatial autocorrelation[J]. Journal of Geo-Information Science, 2024, 26(6):1517-1530. ]. DOI:10.12082/dqxxkx.2024.230752

[5]
李伶杰, 王银堂, 唐国强, 等. 考虑有雨无雨辨识的多源降水融合方法[J]. 水科学进展, 2022, 33(5):780-793.

[Li L J, Wang Y T, Tang G Q, et al. An innovative multi- source precipitation merging method with the identification of rain and no rain[J]. Advances in Water Science, 2022, 33(5):780-793.] DOI:10.14042/j.cnki.32.1309.2022.05.008

[6]
Tiwari S, Jha S K, Singh A. Quantification of node importance in rain gauge network: Influence of temporal resolution and rain gauge density[J]. Scientific Reports, 2020, 10(1):9761. DOI:10.1038/s41598-020-66363-5

PMID

[7]
Neuper M, Ehret U. Quantitative precipitation estimation with weather radar using a data- and information-based approach[J]. Hydrology and Earth System Sciences, 2019, 23(9):3711-3733. DOI:10.5194/hess-23-3711-2019

[8]
Michaelides S, Levizzani V, Anagnostou E, et al. Precipitation: Measurement, remote sensing, climatology and modeling[J]. Atmospheric Research, 2009, 94(4):512-533. DOI:10.1016/j.atmosres.2009.08.017

[9]
Rahman K U, Shang S H, Zohaib M. Assessment of merged satellite precipitation datasets in monitoring meteorological drought over Pakistan[J]. Remote Sensing, 2021, 13(9):1662. DOI:10.3390/rs13091662

[10]
Kidd C, Huffman G, Maggioni V, et al. The global satellite precipitation constellation: Current status and future requirements[J]. Bulletin of the American Meteorological Society, 2021, 102(10): E1844-E1861. DOI:10.1175/BAMS-D-20-0299.1

[11]
唐国强, 万玮, 曾子悦, 等. 全球降水测量(GPM)计划及其最新进展综述[J]. 遥感技术与应用, 2015, 30(4):607-615.

DOI

[Wan W, Zeng Z Y, et al. An overview of the global precipitation measurement (GPM) mission and it’s latest development[J]. Remote Sensing Technology and Application, 2015, 30(4):607-615.] DOI:10.11873/j.issn.1004-0323.2015.4.0607

[12]
Eini M R, Javadi S, Delavar M, et al. High accuracy of precipitation reanalyses resulted in good river discharge simulations in a semi-arid basin[J]. Ecological Engineering, 2019, 131:107-119. DOI:10.1016/j.ecoleng.2019.03.005

[13]
Li C X, Zhao T B, Shi C X, et al. Assessment of precipitation from the CRA40 dataset and new generation reanalysis datasets in the global domain[J]. International Journal of Climatology, 2021, 41(11):5243-5263. DOI:10.1002/joc.7127

[14]
Dehaghani A M, Gohari A, Zareian M J, et al. A comprehensive evaluation of the satellite precipitation products across Iran[J]. Journal of Hydrology: Regional Studies, 2023, 46:101360. DOI:10.1016/j.ejrh.2023.101360

[15]
Serrat-Capdevila A, Merino M, Valdes J, et al. Evaluation of the performance of three satellite precipitation products over Africa[J]. Remote Sensing, 2016, 8(10):836. DOI:10.3390/rs8100836

[16]
Yu C, Hu D Y, Liu M Q, et al. Spatio-temporal accuracy evaluation of three high-resolution satellite precipitation products in China area[J]. Atmospheric Research, 2020, 241:104952. DOI:10.1016/j.atmosres.2020.104952

[17]
Beck H E, Vergopolan N, Pan M, et al. Global-scale evaluation of 22 precipitation datasets using gauge observations and hydrological modeling[J]. Hydrology and Earth System Sciences, 2017, 21(12):6201-6217. DOI:10.5194/hess-21-6201-2017

[18]
Belo-Pereira M, Dutra E, Viterbo P. Evaluation of global precipitation data sets over the Iberian Peninsula[J]. Journal of Geophysical Research: Atmospheres, 2011, 116(D20):D20101. DOI:10.1029/2010JD015481

[19]
Xie P P, Joyce R, Wu S R, et al. Reprocessed, bias-corrected CMORPH global high-resolution precipitation estimates from 1998[J]. Journal of Hydrometeorology, 2017, 18(6):1617-1641. DOI:10.1175/jhm-d-16-0168.1

[20]
Katiraie-Boroujerdy P S, Rahnamay Naeini M, Akbari Asanjan A, et al. Bias correction of satellite-based precipitation estimations using quantile mapping approach in different climate regions of Iran[J]. Remote Sensing, 2020, 12(13):2102. DOI:10.3390/rs12132102

[21]
Ringard J, Seyler F, Linguet L. A quantile mapping bias correction method based on hydroclimatic classification of the Guiana shield[J]. Sensors, 2017, 17(6):1413. DOI:10.3390/s17061413

[22]
Beaufort A, Gibier F, Palany P. Assessment and correction of three satellite rainfall estimate products for improving flood prevention in French Guiana[J]. International Journal of Remote Sensing, 2019, 40(1):171-196. DOI:10.1080/01431161.2018.1511934

[23]
Saber M, Yilmaz K K. Evaluation and bias correction of satellite-based rainfall estimates for modelling flash floods over the Mediterranean Region: Application to karpuz river basin, Turkey[J]. Water, 2018, 10(5):657. DOI:10.3390/w10050657

[24]
Wei L Y, Jiang S H, Dong J Z, et al. Fusion of gauge-based, reanalysis, and satellite precipitation products using Bayesian model averaging approach: Determination of the influence of different input sources[J]. Journal of Hydrology, 2023, 618:129234. DOI:10.1016/j.jhydrol.2023.129234

[25]
Chen Y Y, Huang J F, Sheng S X, et al. A new downscaling-integration framework for high-resolution monthly precipitation estimates: Combining rain gauge observations, satellite-derived precipitation data and geographical ancillary data[J]. Remote Sensing of Environment, 2018, 214:154-172. DOI:10.1016/j.rse.2018.05.021

[26]
Chen F R, Gao Y Q, Wang Y G, et al. A downscaling-merging method for high-resolution daily precipitation estimation[J]. Journal of Hydrology, 2020, 581:124414. DOI:10.1016/j.jhydrol.2019.124414

[27]
Beikahmadi N, Francipane A, Noto L V. Smart data blending framework to enhance precipitation estimation through interconnected atmospheric, satellite, and surface variables[J]. Hydrology, 2023, 10(6):128. DOI:10.3390/hydrology10060128

[28]
Zhang Y, Hou J L, Huang C L. Integration of satellite-derived and ground-based soil moisture observations for a precipitation product over the upper Heihe River Basin, China[J]. Remote Sensing, 2022, 14(21):5355. DOI:10.3390/rs14215355

[29]
周媛媛, 杨晓辉, 肖天贵. 基于宽度学习系统的云南省多源降水数据融合模型研究[J/OL]. 高原气象. https://link.cnki.net/urlid/62.1061.p.20231130.1308.008.

[Zhou Y Y, Yang X H, Xiao T G. Multi-source Rainfall Data Assimilation based on Broad Learning System over Yunnan province[J]. Plateau Meteorology. https://link.cnki.net/urlid/62.1061.p.20231130.1308.008.]

[30]
杜晓婉, 陈曦, 郑宏伟, 等. 一种降水降尺度模型:地形约束下的条件生成对抗网络[J]. 地球信息科学学报, 2023, 25(8):1586-1600.

DOI

[Chen X, Zheng H W, et al. A precipitation downscaling model: Conditional generative adversarial networks under terrain constraints[J]. Journal of Geo-Information Science, 2023, 25(8):1586-1600.] DOI:10.12082/dqxxkx.2023.230033

[31]
Zhu Q, Gao X C, Xu Y P, et al. Merging multi-source precipitation products or merging their simulated hydrological flows to improve streamflow simulation[J]. Hydrological Sciences Journal, 2019, 64(8):910-920. DOI:10.1080/02626667.2019.1612522

[32]
Chao L J, Zhang K, Li Z J, et al. Geographically weighted regression based methods for merging satellite and gauge precipitation[J]. Journal of Hydrology, 2018, 558:275-289. DOI:10.1016/j.jhydrol.2018.01.042

[33]
Chen S L, Xiong L H, Ma Q M, et al. Improving daily spatial precipitation estimates by merging gauge observation with multiple satellite-based precipitation products based on the geographically weighted ridge regression method[J]. Journal of Hydrology, 2020, 589:125156. DOI:10.1016/j.jhydrol.2020.125156

[34]
Ma Y Z, Sun X, Chen H N, et al. A two-stage blending approach for merging multiple satellite precipitation estimates and rain gauge observations: An experiment in the northeastern Tibetan Plateau[J]. Hydrology and Earth System Sciences, 2021, 25(1):359-374. DOI:10.5194/hess-25-359-2021

[35]
Nie S P, Wu T W, Luo Y, et al. A strategy for merging objective estimates of global daily precipitation from gauge observations, satellite estimates, and numerical predictions[J]. Advances in Atmospheric Sciences, 2016, 33(7):889-904. DOI:10.1007/s00376-016-5223-y

[36]
Shen Y, Zhao P, Pan Y, et al. A high spatiotemporal gauge-satellite merged precipitation analysis over China[J]. Journal of Geophysical Research: Atmospheres, 2014, 119(6):3063-3075. DOI:10.1002/2013JD020686

[37]
Yin G H, Yoshikane T, Yamamoto K, et al. A support vector machine-based method for improving real-time hourly precipitation forecast in Japan[J]. Journal of Hydrology, 2022, 612:128125. DOI:10.1016/j.jhydrol.2022.128125

[38]
Yu C, Shao H Y, Hu D Y, et al. Merging precipitation scheme design for improving the accuracy of regional precipitation products by machine learning and geographical deviation correction[J]. Journal of Hydrology, 2023, 620:129560. DOI:10.1016/j.jhydrol.2023.129560

[39]
Ma Y Z, Hong Y, Chen Y, et al. Performance of optimally merged multisatellite precipitation products using the dynamic Bayesian model averaging scheme over the Tibetan Plateau[J]. Journal of Geophysical Research: Atmospheres, 2018, 123(2):814-834. DOI:10.1002/2017JD026648

[40]
Rahman K U, Shang S H, Shahid M, et al. Development of a novel Weighted Average Least Squares-based ensemble multi-satellite precipitation dataset and its comprehensive evaluation over Pakistan[J]. Atmospheric Research, 2020, 246:105133. DOI:10.1016/j.atmosres.2020.105133

[41]
Rahman K U, Shang S H, Shahid M, et al. Application of a dynamic clustered Bayesian model averaging (DCBA) algorithm for merging multisatellite precipitation products over Pakistan[J]. Journal of Hydrometeorology, 2020, 21(1):17-37. DOI:10.1175/jhm-d-19-0087.1

[42]
Chen Y, Yuan H L, Yang Y Z, et al. Sub-daily soil moisture estimate using dynamic Bayesian model averaging[J]. Journal of Hydrology, 2020, 590:125445. DOI:10.1016/j.jhydrol.2020.125445

[43]
Li K B, Tian F Q, Khan M Y A, et al. A high-accuracy rainfall dataset by merging multiple satellites and dense gauges over the southern Tibetan Plateau for 2014-2019 warm seasons[J]. Earth System Science Data, 2021, 13(11):5455-5467. DOI:10.5194/essd-13-5455-2021

[44]
Asfaw W, Rientjes T, Haile A T. Blending high-resolution satellite rainfall estimates over urban catchment using Bayesian Model Averaging approach[J]. Journal of Hydrology: Regional Studies, 2023, 45:101287. DOI:10.1016/j.ejrh.2022.101287

[45]
Willmott C J, Rowe C M, Philpot W D. Small-scale climate maps: A sensitivity analysis of some common assumptions associated with grid-point interpolation and contouring[J]. The American Cartographer, 1985, 12(1):5-16. DOI:10.1559/152304085783914686

[46]
Yang Z W, Hsu K, Sorooshian S, et al. Bias adjustment of satellite-based precipitation estimation using gauge observations: A case study in Chile[J]. Journal of Geophysical Research: Atmospheres, 2016, 121(8):3790-3806. DOI:10.1002/2015jd024540

[47]
Lafon T, Dadson S, Buys G, et al. Bias correction of daily precipitation simulated by a regional climate model: A comparison of methods[J]. International Journal of Climatology, 2013, 33(6):1367-1381. DOI:10.1002/joc.3518

[48]
Jakob Themeßl M, Gobiet A, Leuprecht A. Empirical-statistical downscaling and error correction of daily precipitation from regional climate models[J]. International Journal of Climatology, 2011, 31(10):1530-1544. DOI:10.1002/joc.2168

[49]
黄文焕, 戚佳金, 黄南天. 带线性约束的回归模型参数的Liu估计方法[J]. 系统科学与数学, 2009, 29(7):937-946.

DOI

[Qi J J, Huang N T. Liu-type estimation for the linear model with linear restrictions[J]. Journal of Systems Science and Mathematical Sciences, 2009, 29(7):937-946.]

DOI

[50]
吴平, 王中艳, 陈兰花. 带线性约束的回归模型参数估计的新研究[J]. 数学理论与应用, 2010, 30(4):103-106.

[Wu P, Wang Z Y, Chen L H. New research on an estimation of parameter for the linear model with linear restrictions[J]. Mathematical Theory and Applications, 2010, 30(4):103-106.]

[51]
崔雪森, 周为峰, 唐峰华, 等. 基于约束线性回归的柔鱼栖息地指数渔场预报模型构建[J]. 渔业科学进展, 2018, 39(1):64-72.

[Cui X S, Zhou W F, Tang F H, et al. The construction of habitat suitability index forecast model of ommastrephes bartramii fishing ground based on constrained linear regression[J]. Progress in Fishery Sciences, 2018, 39(1):64-72.] DOI:10.11758/yykxjz.20161114001

[52]
Goldfarb D, Idnani A. Dual and primal-dual methods for solving strictly convex quadratic programs[M]//Lecture Notes in Mathematics. Berlin, Heidelberg: Springer Berlin Heidelberg, 1982:226-239. DOI:10.1007/bfb0092976

[53]
Goldfarb D, Idnani A. A numerically stable dual method for solving strictly convex quadratic programs[J]. Mathematical Programming, 1983, 27(1):1-33. DOI:10.1007/BF02591962

[54]
Raftery A E, Gneiting T, Balabdaoui F, et al. Using Bayesian model averaging to calibrate forecast ensembles[J]. Monthly Weather Review, 2005, 133(5):1155-1174. DOI:10.1175/MWR2906.1

[55]
Duan Q Y, Ajami N K, Gao X G, et al. Multi-model ensemble hydrologic prediction using Bayesian model averaging[J]. Advances in Water Resources, 2007, 30(5):1371-1386. DOI:10.1016/j.advwatres.2006.11.014

[56]
林文青, 陈活泼, 徐慧文, 等. 西南地区未来极端降水增加将导致其人口暴露风险加剧[J]. 大气科学学报, 2023, 46(4):499-516.

[Lin W Q, Chen H P, Xu H W, et al. Significant increase of precipitation extremes will enlarge its population exposure over Southwest China in the future[J]. Transactions of Atmospheric Sciences, 2023, 46(4):499-516.] DOI:10.13878/j.cnki.dqkxxb.20221118007

[57]
白慧, 严小冬, 池再香, 等. 西南地区汛期降水次季节变化主模态的低频环流传播路径特征[J]. 山地气象学报, 2024, 48(1):10-20.

[Yan X D, Chi Z X, et al. Characteristics of low-frequency circulation propagation path of the main modes of sub-seasonal variation of precipitation in rainy season in Southwest China[J]. Journal of Mountain Meteorology, 2024, 48(1):10-20.]

[58]
章新平, 刘晶淼, 中尾正义, 等. 我国西南地区降水中过量氘指示水汽来源[J]. 冰川冻土, 2009, 31(4):613-619.

[Zhang X P, Liu J M, Masayoshi N, et al. Vapor origins revealed by deuterium excess in precipitation in Southwest China[J]. Journal of Glaciology and Geocryology, 2009, 31(4):613-619.] DOI:10.7522/j.issn.1000-0240.2009.0084

[59]
高楷祥, 杨月, 王璐. 西南地区降水的时空演变特征分析[J]. 黑龙江环境通报, 2024, 37(5):14-16.

[Yang Y, Wang L. Analysis of spatiotemporal evolution characteristics of precipitation in Southwest China[J]. Heilongjiang Environmental Journal, 2024, 37(5):14-16.]

[60]
周天军, 高晶, 赵寅, 等. 影响“亚洲水塔” 的水汽输送过程[J]. 中国科学院院刊, 2019, 34(11):1210-1219.

[Gao J, Zhao Y, et al. Water vapor transport processes on Asian water tower[J]. Bulletin of Chinese Academy of Sciences, 2019, 34(11):1210-1219.] DOI:10.16418/j.issn.1000-3045.2019.11.004

[61]
武茜茜, 陈粉丽, 朱国锋, 等. 基于LMDZ模型的西南地区水汽来源及水汽再循环率的分析[J]. 地球与环境, 2021, 49(4):400-408.

[Wu X X, Chen F L, Zhu G F, et al. Analysis of water vapor source and contribution of recycled moisture to precipitation in Southwest China based on LMDZ model[J]. Earth and Environment, 2021, 49(4):400-408.] DOI:10.14050/j.cnki.1672-9250.2021.49.034

[62]
刘斌, 盛恩国, 郁科科, 等. 过去1500年中国西南地区季风降水变化及其驱动因素[J]. 中国科学:地球科学, 2022, 52(7):1310-1327.

[Liu B, Sheng E G, Yu K K, et al. Variations in monsoon precipitation over Southwest China during the last 1500 years and possible driving forces[J]. Scientia Sinica Terrae, 2022, 52(7):1310-1327.] DOI:10.1360/SSTe-2021-0075

[63]
张乐乐, 高黎明, 赵林, 等. 降水观测误差修正研究进展[J]. 地球科学进展, 2017, 32(7):723-730.

DOI

[Gao L M, Zhao L, et al. Review on correction of errors in precipitation measurement[J]. Advances in Earth Science, 2017, 32(7):723-730.] DOI:10.11867/j.issn.1001-8166.2017.07.0723

[64]
Yang D Q, Shi Y F, Kang E S, et al. Results of solid precipitation measurement intercomparison in the alpine area of Urumqi river basin[J]. Chinese Science Bulletin, 1991, 36(13):1105-1109. DOI:10.1360/sb1991-36-13-1105

[65]
杨大庆. 普通雨量器湿润损失实验的初步分析[J]. 气象, 1987, 13(7):16-18,15.

[Yang D Q. A case study of the wetting loss experiments in the rain gauge[J]. Meteorological Monthly, 1987, 13(7):16-18,15.] DOI:10.7519/j.issn.1000-0526.1987.07.003

[66]
杨大庆, 姜彤, 张寅生, 等. 天山乌鲁木齐河源降水观测误差分析及其改正[J]. 冰川冻土, 1988, 10(4):384-399.

[Yang D Q, Jiang T, Zhang Y S, et al. Analysis and correction of errors in precipitation measurement at the head of UrumqiRiver, Tianshan[J]. Journal of Glaciology and Geocryology, 1988, 10(4):384-399.] DOI:10.7522/j.issn.1000-0240.1988.0055

[67]
杜铭霞, 张明军, 王圣杰, 等. 新疆夏半年降水观测误差分析和修正[J]. 干旱区地理, 2017, 40(6):1143-1151.

[Zhang M J, Wang S J, et al. Analysis and correction of errors in precipitation measurement in Xinjiang during summer half year[J]. Arid Land Geography, 2017, 40(6):1143-1151.] DOI:10.13826/j.cnki.cn65-1103/x.2017.06.003

[68]
何晓波, 叶柏生, 丁永建. 青藏高原唐古拉山区降水观测误差修正分析[J]. 水科学进展, 2009, 20(3):403-408.

[He X B, Ye B S, Ding Y J. Bias correction for precipitation mesuament in Tanggula Mountain Tibetan Plateau[J]. Advances in Water Science, 2009, 20(3):403-408.] DOI:10.3321/j.issn:1001-6791.2009.03.016

[69]
李娜, 李毅, 张文萍. 湖南省降水量观测误差分析及其校正[J]. 水电能源科学, 2017, 35(2):21-23,57.

[Li N, Li Y, Zhang W P. Error analysis and correction of precipitation observation in Hunan Province[J]. Water Resources and Power, 2017, 35(2):21-23,57.]

[70]
Kidd C, Takayabu Y N, Skofronick-Jackson G M, et al. The global precipitation measurement (GPM) mission[M]// LevizzaniV, KiddC, KirschbaumD B, et al, eds. Advances in Global Change Research. Cham: Springer International Publishing, 2020:3-23. DOI:10.1007/978-3-030-24568-9_1

[71]
陈晓宏, 钟睿达, 王兆礼, 等. 新一代GPM IMERG卫星遥感降水数据在中国南方地区的精度及水文效用评估[J]. 水利学报, 2017, 48(10):1147-1156.

[Chen X H, Zhong R D, Wang Z L, et al. Evaluation on the accuracy and hydrological performance of the latest-generation GPM IMERG product over South China[J]. Journal of Hydraulic Engineering, 2017, 48(10):1147-1156.] DOI:10.13243/j.cnki.slxb.20170202

[72]
Hersbach H, Bell B, Berrisford P, et al. The ERA5 global reanalysis[J]. Quarterly Journal of the Royal Meteorological Society, 2020, 146(730):1999-2049. DOI:10.1002/qj.3803

[73]
Muñoz-Sabater J, Dutra E, Agustí-Panareda A, et al. ERA5-Land: A state-of-the-art global reanalysis dataset for land applications[J]. Earth System Science Data, 2021, 13(9):4349-4383. DOI:10.5194/essd-13-4349-2021

[74]
Beck H E, Pan M, Roy T, et al. Daily evaluation of 26 precipitation datasets using Stage-IV gauge-radar data for the CONUS[J]. Hydrology and Earth System Sciences, 2019, 23(1):207-224. DOI:10.5194/hess-23-207-2019

[75]
Gomis-Cebolla J, Rattayova V, Salazar-Galán S, et al. Evaluation of ERA5 and ERA5-Land reanalysis precipitation datasets over Spain (1951-2020)[J]. Atmospheric Research, 2023, 284:106606. DOI:10.1016/j.atmosres.2023.106606

[76]
Nogueira M. Inter-comparison of ERA-5, ERA-interim and GPCP rainfall over the last 40 years: Process-based analysis of systematic and random differences[J]. Journal of Hydrology, 2020, 583:124632. DOI:10.1016/j.jhydrol.2020.124632

[77]
Baez-Villanueva O M, Zambrano-Bigiarini M, Beck H E, et al. RF-MEP: A novel Random Forest method for merging gridded precipitation products and ground-based measurements[J]. Remote Sensing of Environment, 2020, 239:111606. DOI:10.1016/j.rse.2019.111606

[78]
陈汉清. 多卫星遥感降水反演误差解译及其质量改进研究[J]. 测绘学报, 2023, 52(2):346-346.

DOI

[Chen H Q. Research on the error quantification and quality improvement of multi-satellite remote sensing precipitation retrievals[J]. Acta Geodaetica et Cartographica Sinica, 2023, 52(2):346-346.] DOI:10.11947/j.AGCS.2023.20210359

Outlines

/