地球信息科学学报  2019 , 21 (2): 190-200 https://doi.org/10.12082/dqxxkx.2019.180271

地理空间分析综合应用

基于支持向量机的京津冀城市群热环境时空形态模拟

杨浩123, 孟娜4, 王婧1*, 郑燕5, 赵莉67

1. 北京市社会科学院,北京 100101
2. 北京大学经济学院,北京 100871
3. 北京市延庆区交通局,北京 102100
4. 北京师范大学政府管理学院,北京 100875
5. 河北民族师范学院外语学院,承德 067000
6.西南科技大学文学与艺术学院,绵阳 621000
7. 复旦大学,上海 200433

Spatial-temporal Morphology Simulation of Beijing-Tianjin-Hebei Urban Agglomeration Thermal Environment based on Support Vector Machine

YANG Hao123, MENG Na4, WANG Jing1*, ZHENG Yan5, ZHAO Li67

1. Beijing Academy of Social Sciences, Beijing 100101, China
2. School of Economics, Peking University, Beijing 100871, China
3. Beijing Yanqing District Transportation Bureau,Beijing 102100, China
4. School of Government, Beijing Normal University, Beijing 100875, China
5. Hebei Normal University for Nationalities, Chengde 067000, China; School of Literature and Art, Southwest University of Science and Technology, Mianyang 621000, China
7. Fudan University, Shanghai 200433, China

通讯作者:  *通讯作者:王 婧(1983-),女,山东淄博人,博士,副研究员,研究方向为区域发展与管理。E-mail: w.j.2000@163.com

收稿日期: 2018-06-4

修回日期:  2018-12-3

网络出版日期:  2019-02-20

版权声明:  2019 《地球信息科学学报》编辑部 《地球信息科学学报》编辑部 所有

基金资助:  国家社会科学基金项目(18CGL048)国家自然科学基金重点项目(41731286)中国博士后科学基金资助项目(2018M631383)北京市社会科学院青年项目(2018B5186)

作者简介:

作者简介:杨 浩(1983-),男,吉林长春人,博士,助理研究员,研究方向为土地行政、土地资源管理。E-mail: yh01@pku.edu.com

展开

摘要

城市群热环境作为区域生态重要组成部分,已成为近年来的研究热点。而如何选择针对城市群这种复杂地地貌特征的热环境量化工具一直是亟待解决的技术难点,基于此本研究提出了一种解决多样本、非线性、非平稳及高维函数拟合的计算方法,并建立了基于支持向量机(SVM)的京津冀城市群热环境曲面模型来揭示城市群热环境的时空形态变化。研究结果表明:① SVM模型在刻画多核心、多种土地利用类型城市群热环境的空间分布方面具有理论与实践可行性,能够根据热环境的整体空间布局通过高斯核函数进行局部优化差值,最大限度减少缺省值对模型拟合结果的影响。相比于对照方法可以模拟出更高精度的复杂地貌特征城市群热岛空间分布格局;② 在SVM模型曲面拟合的过程中,拟合精度和拟合时间是衡量拟合结果的重要指标,而原始影像的分辨率则是影响该指标的决定性因素;③ 2003-2013年区域内北京市与天津市的城市热岛效应变化最为明显,热岛面积分别增加7091 km2与4196 km2,空间上呈现出逐年接近连片发展趋势,热岛重心移动轨迹具有明显的时空分异性。北京城市热岛特征为东南部地区异速增长,西部地区缓慢增长;天津城市热岛特征为以城市中心为圆心向周围扩展。本研究进一步丰富了城市群热环境评测的定量方法,可以在实践上对城市群的城市规划、城市建设、环境保护和区域可持续发展等提供定量化、可视化的决策支持。

关键词: 城市热环境 ; 时空形态 ; 高斯曲面模型 ; 支持向量机(SVM) ; 京津冀城市群

Abstract

As an important part of regional ecology, the thermal environment of urban agglomeration has become a research hot topic in recent years. How to choose the thermal environment quantification mehod for the complex geomorphological features of urban agglomeration has been a difficult technical problem to be solved. Based on this, This study proposes a solution to multi-sample, nonlinear, non-stationary and high-dimensional function fitting. The calculation method is established, and the thermal environment surface model of Beijing-Tianjin-Hebei urban agglomeration based on support vector machine (SVM) is established to reveal the temporal and spatial morphological changes of the thermal environment of urban agglomeration. The results show: ①that the SVM model has theoretical and practical feasibility in describing the spatial distribution of the thermal environment of urban agglomerations with multi-core and multi-land-use types. It can optimize the differences locally through the Gaussian Kernel Function according to the overall spatial distribution of the thermal environment, and minimize the impact of default values on the fitting results of the model. Comparing with the control method, the spatial distribution pattern of heat island in urban agglomerations with complex geomorphologic features can be simulated with higher accuracy. ② In the process of fitting the surface of SVM model, accuracy and the time of fitting are important indexes to measure the results, and original image resolution is the decisive influencing factor. ③ In 2003-2013, the most obviously change regions of urban heat island effect are Beijing and Tianjin. The heat island area of the two cities increased by 7091 km square and 4196 km square, respectively. The spatial trend was developing continually year by year, and the trajectory of gravity center of the heat island had obvious spatial and temporal variations. Beijing's urban heat island is characterized by uneven growth in the southeast and slow growth in the west, while Tianjin's urban heat island is characterized by the expansion of city center to the surrounding areas. This study further enriches the quantitative methods of urban thermal environment assessment, and can provide quantitative and visual decision supports for urban agglomeration planning, urban construction, environmental protection and regional sustainable development practically.

Keywords: urban thermal environment ; temporal and spatial patterns ; gaussian surface model ; Support Vector Machine (SVM) ; Beijing-Tianjin-Hebei urban agglomeration

0

PDF (6069KB) 元数据 多维度评价 相关文章 收藏文章

本文引用格式 导出 EndNote Ris Bibtex

杨浩, 孟娜, 王婧, 郑燕, 赵莉. 基于支持向量机的京津冀城市群热环境时空形态模拟[J]. 地球信息科学学报, 2019, 21(2): 190-200 https://doi.org/10.12082/dqxxkx.2019.180271

YANG Hao, MENG Na, WANG Jing, ZHENG Yan, ZHAO Li. Spatial-temporal Morphology Simulation of Beijing-Tianjin-Hebei Urban Agglomeration Thermal Environment based on Support Vector Machine[J]. Journal of Geo-information Science, 2019, 21(2): 190-200 https://doi.org/10.12082/dqxxkx.2019.180271

1 引言

近年来,伴随城镇化进程的加快,城市基础设施建设强度不断增加,城市土地利用/覆被状况逐渐变化所产生的增温与高强度人为热排放在原本离散的城市内部难以消解,导致城市的热岛效应恶化趋势日渐明显[1,2,3,4];同时,城市土地利用/覆被状况的逐渐变化与区域能量平衡过程的改变直接影响着地表-大气之间的相互作用,进而改变大气的热力学和动力学特征[5,6,7,8]。现阶段,城市热环境问题已不再是单纯的气候环境问题,而是影响城市化进程和城市生态环境可持续发展的重大阻碍之一。京津冀作为典型的城市群体,热环境问题尤为突出,研究京津冀城市群热环境时空格局变化的现状与特点、分析其对区域热环境变化的影响机制,不仅对京津冀地区的生态环境保护具有重要的参考价值,还对城市群的生态环境健康与可持续发展具有重大的战略意义。

从国内外城市热环境研究来看,相关研究主要集中在城市热岛效应及热岛强度度量、城市气候等方面,且以对单一城市热环境研究为主,对城市群或区域内多个城市热环境效应、热环境时空变化研究相对较少。例如,Sun等[9]通过对广州市城乡空气温度差异性的历史分析,探讨了城市发展对城市热岛的影响,还将遥感技术应用于土地利用/土地覆盖和地表温度的信息,阐述了广州市的土地利用变化及其热环境效应。陈云浩等[10]运用RS、GIS技术,构建了热力景观空间格局的评价指标体系,用转移矩阵法对上海多年的多时相热力景观转移速率进行计算,并在分析后得出了上海市近十年热力相关类型的变化强度及趋势;张心怡等[11]以上海为主要研究对象,运用格局、过程、机制和模型,并结合Landsat TM/ETM+影像和GIS的空间分析功能,研究了上海的土地利用/土地覆盖变化及热环境效应,为上海的城市规划发展、环境保护及生态建设等提供依据。李雪松等[11]以城市区域面积、地理信息等详细的数据调研为依据,对武汉市东南片区的城市扩张进行了基于城市冠层模型的WRF数字模拟,导出了不同时间段气温及其差值,并进行量化比对和分析。王福海等[12]以重庆市主城区为研究对象,基于Landsat TM遥感数据,采用人机交互解译和定量遥感技术相结合的方法,研究重庆市主城区热环境时空变化特征与建设用地扩展之间的关系,得出了地表温度与建设用地呈明显的正相关关系,新增建设用地容易形成新兴热岛区等结论。张丽娟等[13]基于黑龙江省1960-2010年的土地利用变化数据,采用自然正交分解(EOF)、气候倾向率及Observation Minus Reanalysis(OMR)等方法,分析了土地利用变化对黑龙江省气温的影响。

本文选择京津冀城市群作为研究区域,运用支持向量机(Support Vector Machines, SVM)方法研究整个区域热环境时空变化。一方面,可揭示城市群空间发展对热环境的影响,有助于对城市群热环境时空变化规律及问题的探索与发现;另一方面,对京津冀城市群热环境风险的防范起到科学支撑,为相关部门决策提供参考价值。此外,选择支持向量机(SVM)模型对城市群热环境进行模拟,在研究方法上也具有较强的实用性与创新性。

2 研究区概况与数据源

2.1 研究区概况

京津冀城市群包括北京、天津、河北两市一省,土地面积18.50万km2,占全国土地总面积的1.93%。集聚了全国7.23%的人口,创造了11.3%的国内生产总值,城镇化水平达到60.7%。从气候环境来看,京津冀城市群地势为西北高、东南低,区域内主要城市的气候变化与大气环流变化密切相关,春季干燥少雨多风沙,夏季炎热多雨,秋季晴爽,冬季寒冷少雪,属于典型温带季风气候区;近年来京津冀城市群以北京市、天津市为中心增长点,引领带动本区域内各次级中心城市(河北省11个地级市)统筹协调发展。 国家 “十三五”规划纲要将京津冀城市群定为“以首都为核心的世界级城市群、区域整体协同发展改革引领区、生态环境改善示范区”,这表明京津冀城市群作为中国东部核心区的地位日益重要。

2.2 数据源

本文以2003-2013年MODIS-LSTs地表温度产品为主要数据源,通过半径法选取北京、天津、唐山、保定、石家庄5个城市为代表,对京津冀地区城市群的热岛足迹进行研究,建立城市热岛容量模型,获得MODIS数据所建立的京津冀城市群温度数据库。MODIS-LSTs产品数据通过每日4次经过京津冀城市群的Terra(上午)和Aqua(下午)两颗卫星获取。LSTs数据产品通过MOD11A1和MYD11A1产品的反演获取京津冀城市群区域内空间分辨率为1 km,温度反演精确度小于1.0 K的地表温度数据。虽然MODIS的数据分辨率较为粗糙,但其每日4次的温度提取使得城市热岛在不同时间尺度上的拟合变为可能。特别是MODIS-LSTs在排除大气干扰的情况下,反演精度能在0.5 K范围之内,符合较高精度的拟合需求。因此,本研究中基于MODIS-LSTs产品所建立的京津冀城市群地表温度数据库能够比较客观地反映京津冀城市群热环境的现实情况。而且利用MODIS遥感数据通过分裂窗算法和白天/夜间陆表温度算法等得到的地表温度精度更高,也具有较好的稳定性。同时,为了减少后续研究中曲面拟合运算中的误差、减少模拟过程中由于行政边界的不规则剪切而造成的缺省值对曲面拟合的影响,本研究对该数据库进行网格化设置,通过ArcGIS软件,采用兰伯特投影(LCC),设置 中心经纬线为116.69°E,39.35°N,并将其转化为 (-300~300 km,-372~372 km)的矩形网格(图1)。其中,研究区域内由于云层、海洋等环境因素造成的缺省值区域被设置为空值,不纳入模型模拟计算。

图1   网格化设置后的研究区域位置

Fig. 1   Study area after grid setting

本研究采用夏季白天地表温度平均值作为原始数据输入。原因在于城区热岛形成主要是由下垫面热容性质的差异所造成,城镇区域中夹杂分布的绿地及公园会造成热岛曲面模拟的误差;而在冬季城市热岛形成的主要来源属人为热源,城镇区域内分布较为均匀、模拟误差较小,因此在该时期进行城市热岛曲面模拟的精度较差,易于筛选适用于该区域热岛曲面拟合的模型。

3 研究方法

为实现对城市群热环境时空形态的测定、计算,需要对城市热环境空间形态的几何特征和布局特点有细致详尽的认识。目前,城市热环境曲面拟合模拟因其精确高、直观性强等特点成为目前进行城市空间形态研究的重要手段之一[14,15]

3.1 高斯曲面模型

从城市热岛形成的机理来看,影响地表温度的因素主要有初始地温、地物热惯量和辐射总量等。如果将研究区域视为地表热力系统,那么初始地温相当于整个地表热力系统的背景温度,且地物热惯量的差异则是导致地表热力系统内地表温度差异的主要影响因素。因此,热力系统的地表温度可以表示为[16]

Ts(x,y)=Ts1(x,y)+Ts2(x,y)(1)

式中: (x,y)分别为像元坐标; Ts(x,y)为地表温度; Ts1(x,y)为背景温度; Ts2(x,y)为热力系统局部热异常导致的温度增量。

在研究城市热岛效应时,通常考虑乡村地区地物热惯性相对稳定,将其作为背景场,即地表温度为 R(x,y)。如果在 R(x,y)温度背景场上叠加城市地区热异常则会表现出城市热岛效应,那么把由城市热岛效应导致的温度增量 Ts2(x,y)定义为热岛信号函数 UHI(x,y)。因此,热力系统的地表温度可转换为:

Ts(x,y)=R(x,y)+UHI(x,y)(2)

因此,根据式(2)分别抽象出乡村地表温度场 R(x,y)和热岛信号函数 UHI(x,y),即可拟合出传统城市热环境曲面。然而,拟合城市群热环境曲面时,多核心、城乡分界不明显、空间分布规律更复杂等热环境空间特征因素会制约传统曲面模型的精度。

二维高斯曲面模型相较于传统曲面模型能够有效地拟合区域空间内具有孤岛效应热值空间分布,并且可以将不同城市之间以及单城市中不同时期的地表城市热岛(Surface Urban Heat Island, SUHI) 的变化趋势进行比对,能够更好地测度城市在各个时期热岛的形状和方向。近年来,二维高斯曲面模型被广泛地运用到SUHI拟合或城市LST空间形态分布研究中,特别是当城市区域相对于周围的农村地区凸显出热岛效应时测量更加准确。在高斯曲面模型中,可通过式(3)对城市中SUHI进行拟合。

SUHI(x,Y)=a0×exp((x-x0)cosφ+(y-y0)sinφ)20.5ax2-((y-y0)cosφ-(x-x0)sinφ)20.5ay2(3)

式中:xy为像元值的位置;a0为热岛强度的最大值;axay为热岛空间扩展范围(即热岛椭圆的x轴和y轴);φ为热岛椭圆的偏向角度;x0y0为模拟热岛椭圆的中心位置。

在本研究中,通过MATLAB10进行高斯曲面拟合的具体建模过程如下:

(1)输入:通过MATLAB来读取MODIS网格数据矩阵(包括原始坐标(xy)和温度数据)。

(2)高斯拟合:通过对数转换将原始方程转换为线性二阶方程,并通过最小二乘方程实现非线性数据拟合,通过lsqcurvefit.m(MATLAB优化工具箱)实现迭代拟合过程,最终得到a1~a6共6个参数:

ln(SUHI(x,y))=a1x2+a2xy+ay2+a4x+a5y+a6(4)

(3)结果输出:从步骤(1)、(2)得到的拟合系数a1~a6,通过式(5)-(10)进行转换,得到高斯曲面方程中的关键性参数,并在此基础上进行MATLAB绘图,可得到该城市群中SUHI二维或三维分布图。

a1=lna0-x02cos2φ+2x0y0sinφcosφ+y02sin2φ2ax2-y02cos2φ-2x0y0sinφcosφ+x02sin2φ2ay2(5)

a2=x0cos2φ+y0sinφcosφax2-x0sin2φ-y0sinφcosφay2(6)

a3=y0sin2φ+x0sinφcosφax2-y0cos2φ-x0sinφcosφay2(7)

a4=-1ax2+1ay2sinφcosφ(8)

a5=-cos2φ2ax2+sin2φ2ay2(9)

a6=-sin2φ2ax2+cos2φ2ay2(10)

3.2 支持向量机拟合模型

支持向量机方法是20世纪90年代初Vapnik等[17根据统计学习理论提出的一种用于解决模式识别以及函数拟 合等方面的智能算法。SVM能够有效地解决小样本、非线性、非平稳及高维函数拟合等方面的问题[18]。因此,SVM智能方法在拟合具有局地突变特征(例如多核心、非平稳)的城市热岛拟合中存在较大优势。

SVM方法的核心在于升维和线性化。SVM通过引入核函数,将样本空间映射到高维特征空间中,从而使在起始的样本空间非线性可分转化为在高维特征空间中线性可分。SVM所引入核函数的优势并不需要非线性映射的显性表达式,而是直接在高维特征空间中建立线性学习机,因此不会增加计算量和复杂性。经过升维和线性化,低维空间的输入向量变换为高维空间的向量内积值,即:

K(x,y)=ϕ(x)ϕ(y)(11)

常用的核函数有以下4种:

(1)线性核函数: K(x,y)=xy

(2)多项式核函数: K(x,y)=(xy)+1d

(3)径向基函数(RBF): K(x,y)=exp-|x-y|2/d2

(4)二层神经网络核函数(Sigmoid) K(x,y)=tanh(a(xy)+b)

由于RBF核函数计算量较小,适合多维非线性空间映射,并且核函数RBF为高斯函数形式,而高斯函数由于具有平滑及精准等特点而被广泛应用于具有城市热岛曲面的模拟。因此,在本研究中SVM方法采用RBF核函数对研究区域城市群热岛曲面进行拟合。

运用SVM进行非线性函数曲面拟合的算法如下:

给定城市热环境样本空间(xi,yi),xiÎRn,yiÎRn, i=1, …, n。其中:ji代表城市地理坐标向量;y表示地表温度向量;n为城市地理坐标向量的维数;设线性回归函数为:f(x)=wT·x+b,则SVM中最佳曲面拟合函数可以转化为求解下列函数的极值:

min12w2+Ci=1nξi+ξi*(12)

f(xi)-yiξi*+ε,i=1,,nf(xi)-yiξi+ε,i=1,,nξi,ξi*0,i=1,,n(13)

式中:w为广义线性函数的斜率;C为惩罚因子; ξiξi*为松弛变量;ε为精度控制因子。

使用拉格朗日乘数法将原问题变换为对偶问题,经过求解对偶问题,拟合函数可简化成以下形式:

f(x)=i=1n(ai-ai*)k(x,xi)+b(14)

式中: aiai*为对应的样本支持向量;Kxi, x)为核函数。

当选定相应的SVM模型后,模型中惩罚性因子C,以及核函数变量g,成为影响模型精度的关键性变量。目前主要通过“KCV-交叉验证法(K-fold cross-validation, K-CV)”结合“网络搜寻法”来进行关键性变量的取值。

本文基于MATLAB 10环境,选用LIBSVM-3.20软件进行城市群热环境曲面拟合,具体建模过程如下:① 编译,在MATLAB 10 环境下编译LIBSVM-3.20软件包;② 核函数选取,本文选取径向基函数(RBF)作为SVM中的核函数,原因在于其适用多维复杂环境、计算量小、函数形式为高斯形式且适合城市热岛曲面的模拟;③ 参数优化,主要选用“KCV-交叉验证法”结合“网络搜寻法”对模型中关键性参数(C, g)进行优化模拟;④ 模型训练及预测,选用LIBSVM中模型训练及预测模块,结合研究区域热环境数据进行城市群热环境的曲面拟合;⑤ 输出,在前面建模的基础上进行MATLAB绘图便可得到该城市群中SUHI二维或三维分布图。

对于单个城市热环境空间曲面模拟,SVM方法具有“曲面整体把握性”以及“曲面细节刻画性”据对现有模型进行参数率定和模型改进,通过敏感性实验论证改进模型的精确性,构建能够充分表现城市群热环境动态变化特征的空间形态曲面模型,提高现有模型的精度是解决城市群热环境空间形态模拟的关键。

3.3 模型验证

在研究区域范围内按照24 km×24 km绘制网格,在每个网格内随机选取1个数据(共计208个数据)作为验证值,不参与模型拟合运算。模型验证方法主要通过分差系数f表示,并结合回归系数R2进行计算,具体如下:

f=Vmdl-VobsVmdl+Vobs(15)

式中:Vmdl表示拟合数据;Vobs表示观测数据。当|f|小于0.33,表示模拟误差小于2,在可接受范围之内。

模型精度主要通过均方差根误差(RMSE),即模拟值与真值偏差的平方和观测次数n比值的平方根)来表示。

RMSE=i=1nXobs,i-Xmdl,i2n(16)

式中:Xobs为原始观测输入的数据;Xmdl为模型模拟数据;n为数据的个数。

3.4 城市群热环境分级

为定量测算城市群热环境时空形态,本研究利用京津冀城市群热环境模拟空间曲面作为输入数据,因不同季节地表温度有明显差异,为揭示其空间分布特征规律,首先需要将地表温度正规化处理并通过密度分割技术将城市热环境进行分级处理[19]

Tni=Tsi-TsminTsmax-Tsmin(17)

式中: Tni表示第i个像元正规化后的值; Tsi为第i个像元的地表温度; Tsmax表示京津冀城市群地 表温度最大值; Tsmin表示京津冀城市群地表温度 最小值。

通过密度分割技术将地表温度划分为低温、次低温、中温、次高温和高温5个热力等级(表1)。

表1   地表温度等级区间划分标准

Tab. 1   Criteria for dividing the level of surface temperature

地表温度等级温度范围
低温Tni<Tmean-1.5s
次低温Tmean-1.5sTni<Tmean–0.5s
中温Tmean-0.5s≤Tni<Tmean+0.5s
次高温Tmean+0.5s≤Tni<Tmean+1.5s
高温TniTmean+1.5s

注:Tni为正规化后的像元值;Tmean为正规化后所有像元平均值。

新窗口打开

3.5 城市群热环境重心测算

重心是用于描述地理对象空间分布位移的一个重要指标[20,21]。重心表示地理要素空间分布的倾向性,也反映了整体上的非均衡性和“高密度”部位。重心动态转移反映了地理要素分布的总体变化趋势。热岛区域重心是城市热岛效应发展的重要空间特征指标,在城市热环境调控决策过程中有重要的应用价值。对于单个地理对象的重心坐标,可用以下公式计算:

Xt=i=1n(Cti×Xi)i=1nCti(18)

Yt=i=1n(Cti×Yi)i=1nCti(19)

式中: XtYt分别为t时刻城市热岛区域重心; XiYi分别为第i块城市热岛区域的几何中心坐标; Cti为第i个方位区面积。

在此基础上,进一步计算重心转移距离(L)和重心转移角度( α)2个变量。转移距离指示了不同时期城市热岛的均衡程度,偏离方向指示了城市热岛的“高密度”部位。

Lt+1=(xt+1-xt)2+(yt+1-yt)2(20)

式中: Lt+1表示从tt+1时刻城市热岛重心转移距离。

αt+1=arctanyt+1-ytxt+1-xtxt+1xt,yt+1ytπ-arctanyt+1-ytxt+1-xtxt+1<xt,yt+1ytπ+arctanyt+1-ytxt+1-xtxt+1<xt,yt+1<yt2π+arctanyt+1-ytxt+1-xtxt+1xt,yt+1<yt(21)

式中: αt+1表示从tt+1时刻城市热岛转移方向与正东方向的夹角。

4 结果与分析

4.1 京津冀城市群热环境曲面拟合

本研究采用二维高斯曲面拟合方法和支持向量机方法对京津冀城市群进行热环境曲面模拟。由图2可得知,2个模型的预测结果均在可接受范围之内(| f |<0.33)。这表明2个模型从整体上均较好地拟合出城市群地面温度。同时,支持向量机模型拟合精度远大于高斯二维模型的拟合精度即支持向量机模型拟合误差系数| f |=0.016小于二维高斯模型拟合误差系数| f |=0.043。从拟合数据的相关性来看,支持向量机模型中相关系数平方(R2=0.906)远大于二维高斯模型拟合的验证数据(R2=0.41)。这表明相对于二维高斯模型来讲,支持向量机模型对于城市群热环境的模拟在局部细节上也同样具有较高的精度。以上结果表明,对于京津冀城市群热环境的模拟,无论是在整体还是在局部的拟合方面,支持向量机模型比高斯二维模型的模拟精度要高。

图2   模型模拟验证结果

Fig. 2   Verification of simulation results

为进一步验证2个模型在京津冀地区热环境空间模拟的适用性,本研究分别将整个区域数据输入2个模型,得到京津冀地区热环境空间二维图(图3)及三维分布图(图4)。图3图4同样验证了模型验证时期的结论(图2)。从整体上来看,支持向量机模型的拟合值与观测值的均方差根误差(Root Mean Square Error, RSME)为1.264,而二维高斯模型拟合结果(RSME=3.217)远低于该结果,同样证明支持向量机在京津冀热环境空间拟合的准确性。从热环境空间分布拟合来看,支持向量机模型拟合结果与现实情况符合较好(R2=0.837,图3),而二维高斯模型拟合结果较差,不能反映该区域热环境的空间分布(R2<0.01,与观测值不相关)。从空间热环境曲面构建结果(图5)来看,支持向量机模型曲面重构结果能够反映现实环境中的热环境空间分布,而二维高斯模型拟合结果显示关键性参数ay值在模型中的优化结果为0,难以构建完整的曲面。

图3   模型模拟的二维结果

Fig. 3   Two dimensional simulation results

图4   模型模拟的三维结果

Fig. 4   Three dimensional simulation results

图5   支持向量机参数优化

Fig. 5   Support vector machine parameter optimization

究其原因:① 高斯曲面模型要求数据整体上符合正态分布(即存在单个热岛核心)。因此,该模型在城市与乡村集聚区域差异明显的小型单一热岛核心的城市拟合效果较好。而对于多个城市聚集区域(常常具有多个热岛核心)数据波动性较大,没有明显的正态分布趋势,空间分布拟合结果较差。但支持向量机模型通过高斯核函数致使单一曲面分解为线性加和的多个曲面,从而对具有多个热岛核心的京津冀城市群整体曲面拟合较好;② 京津冀城市群存在多种土地利用交错相间的情况,而且夏季不同土地利用的热容性质是造成区域热环境差异的重要因素,交错相间的土地利用类型致使该区域热环境输入数据波动性较大,影响二维高斯曲面的模拟效果。但支持向量机通过高斯核函数能够进行局部优化,然后再进行曲面线性加和,从而能够在局部进行数据滤波的效果,使结果更精确; ③ 由于研究区域内受云层、海洋等环境因素影响而造成的缺省值区域被设置为空值、不纳入模型模拟计算,致使部分拟合数据在空间上不连续,影响了高斯模型的拟合效果。但支持向量机模型能够根据热环境整体空间布局,通过高斯核函数进行局部优化差值,最大限度减少缺省值对模型拟合结果的影响。

综上所述,通过对支持向量机模型和二维高斯模型在模型验证结果以及空间拟合精度的比较发现,支持向量机模型不仅能在整体上较好地模拟具有多核心、多种土地利用类型的京津冀城市群热环境的空间分布,而且能够根据热环境的整体空间布局通过高斯核函数进行局部优化差值,最大限度减少缺省值对模型拟合结果的影响。

4.2 支持向量机模型参数优化

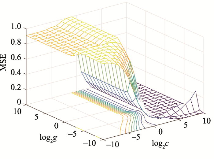
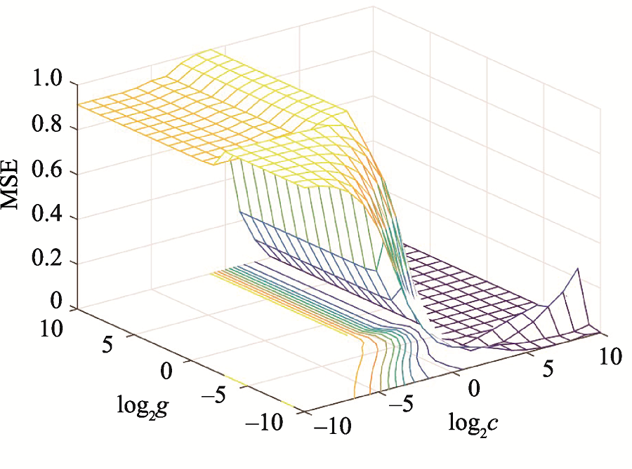
由支持向量机模型原理可知,控制支持向量机的拟合精度最重要的2个参数为:惩罚性因子C和径向基函数(RBF)即高斯核函数中参数g。为了提高支持向量机的模拟精度,本研究采用“KCV-交叉验证法”结合“网络搜寻法”对模型中关键性参数(C, g)进行优化模拟。在MATLAB中Cg的寻值范围设置为2n,其中n取值范围为-10~10,步长间隔为1,同时将输入数据集分为6个子集进行交叉验证,即V=6。参数优化结果见图5。由图5可发现,参数C值在(2~10)~23之间取值时模型均方误差(Mean Squared Error, MSE)远大于C值在24~210之间。对于高斯核参数取值最优范围为(2~5)~(2~8)之间。整个模型模拟值与验证值的均方根误差最小值时,C值为64即log2C =6,g值为0.0078,log2g =-7,此时的C,g值为模型最优参数值。

4.3 分辨率对曲面拟合效果的影响

在进行曲面拟合的过程中,拟合精度和拟合时间是衡量拟合结果的重要指标,而原始影像的分辨率则是影响该指标的决定性因素。为了衡量原始影像分辨率对曲面拟合效果的影响,本研究将原始MODIS数据在ArcGIS中进行重采样,分辨率为3、6、12、和24 km,热值数据取其平均值,并将其在支持向量机模型中进行建模,从曲面拟合结果可知:随着遥感影像分辨率的降低,SVM模拟精度大幅下降。其中,拟合值与观测值之间的均方根误差(RMSE)由1 km分辨率时的1.264上升到1.449(3 km)、2.23(6 km)、3.764(12 km)、4.664(24 km),分别升高了14.63%、76.42%、197.78%和253.16%。拟合值与观测值之间的相关性由1 km分辨率时的0.837降到0.803(3 km)、0.751(6 km)、0.648(12km)、0.589(24 km),分别降低了4.06%、10.28%、22.58%和29.63%。同时,支持向量机拟合所需时间大大降低,由1 km 分辨率时的129 min降低到(3 km)、22 min(6 km)、10 min(12 km)、3 min(24 km),分别降低了74.42%、82.17%、92.25%和97.67%。

4.4 京津冀城市群热环境时空形态变化

根据上文对京津冀城市群的热环境模拟分析可知河北省的唐山、保定、石家庄、沧州、廊坊5个典型城市的热岛效应虽然呈现上升趋势,但整体来看变化幅度并不大,而北京市和天津市作为京津冀城市群的核心城市所呈现的热岛效应最为明显。对北京市和天津市热环境时空形态变化进行测算后的结果显示:2003年北京市城市热岛区域面积为1096.98 km2,天津市城市热岛区域面积为370.32 km2。2003-2013年北京市与天津市的城市热岛区域面积分别增加了7.46倍与12.33倍。10年间北京市和天津市的城市热岛面积增长率分别为709.11 km2/a和349.77 km2/a。而从空间分布形态来看,北京市和天津市城市热岛区域从空间上呈现逐年接近连片发展的趋势。

2003-2013年北京市和天津市城市热岛重心移动轨迹具有明显的时空分异性(表2)。2003-2006年,北京市城市热岛重心向东(东北或东南)缓慢移动,2008年以后主要向东南方向移动,移动速度明显加快,其中2012-2013年城市热岛重心移动3.13 km。天津市城市热岛重心移动速度较北京缓慢,重心移动方向以南方(东南或西南)为主。对比2个城市热岛时空格局特征,北京市城市热岛特征为东南部地区异速增长,西部地区缓慢增长;天津市城市热岛特征表现为以城市中心为圆心向周围扩展。

表2   2003-2013年北京市和天津市城市热岛重心移动距离和移动方位角

Tab. 2   The moving distance and azimuth of the center of gravity of urban heat island in Beijing and Tianjin from 2003 to 2013

时段北京市天津市
移动距离/km移动方位角/°移动距离/km移动方位角/°
2003-20040.36302.720.46287.07
2004-20030.7417.840.26270.35
2003-20060.78200.710.16226.91
2006-20070.5729.831.44350.37
2007-20080.87328.220.38351.31
2008-20091.360.860.73228.19
2009-20102.26333.890.95227.89
2010-20110.85333.660.31339.49
2011-20122.39332.720.4574.08
2012-20133.13345.890.59255.50

新窗口打开

5 结论与讨论

本文通过对比高斯曲面模型和支持向量机拟合模型的算法和优缺点,遴选城市群热环境空间形态模拟的最佳拟合模型,并对2003-2013年MODIS-LSTs地表温度数据、支持向量机拟合模型等进行参数优化和曲面拟合分辨率设置,揭示了2003-2013年的京津冀城市群主要城市的热环境空间分布特征规律。主要结论如下:

(1)支持向量机(SVM)模型可以较好地模拟城市群热岛的空间格局分布。对于京津冀城市群热环境的模拟,无论是在整体还是在局部的拟合方面,SVM模型都比高斯二维模型的模拟精度高。高斯曲面模型对于多个城市聚集区域没有明显的正态分布趋势,空间分布拟合结果较差。SVM模型不仅能在整体上较好地模拟具有多核心、多种土地利用类型的京津冀城市群热环境的空间分布,而且能够根据热环境的整体空间布局通过高斯核函数进行局部优化差值,最大限度减少缺省值对模型拟合结果的影响。同时,研究结果还证明了SVM模型对于刻画京津冀城市群这种囊括多种地貌特征的区域热岛效应理论与实践方面的可行性。

(2)遥感影像分辨率是影响SVM拟合精度和拟合时间的重要因素。研究发现:拟合精度和拟合时间作为衡量拟合结果的重要指标,分辨率正是影响该指标的决定性因素。随着遥感影像分辨率的降低,SVM的模拟精度明显下降。3、6、12、和24 km 时的分辨率与1 km时分辨率的各数值相比,拟合值与观测值之间的均方根误差分别升高了14.63%、76.42%、197.78%和253.16%。拟合值与观测值之间的相关性分别降低了4.06%、10.28%、22.58%和29.63%。同时SVM拟合所需时间大大降低,分别降低了74.42%、82.17%、92.25%和97.67%。

(3)通过模拟京津冀城市群2003-2013年的热环境时空形态变化发现:在京津冀城市群区域内,河北省的唐山、保定、张家口、沧州、廊坊5个主要城市的热岛效应变化幅度不明显,而北京市和天津市的热岛效应变化较为显著。北京市和天津市城市热岛区域大幅增加,重心移动轨迹具有明显的时空分异性。对比2个城市热岛时空格局特征发现:北京市城市热岛特征为东南部地区异速增长,西部地区缓慢增长;天津市城市热岛特征为以城市中心为圆心向周围扩展,这与天津市近年来“摊大饼”式的城市建设发展模式密切相关。

本研究进一步丰富了城市生态环境评测的定量方法,并且可以在实践上对城市群的城市规划、城市建设、环境保护和区域可持续发展等提供定量化、可视化的决策支持。但本研究仍存在一定的不足,特别是在数据精度方面,MODIS数据在刻画较为细致的空间特征方面还存在一定的局限性,而Landsat-8、Sentinel-2等新型卫星生产的LST产品可以较好地克服这些问题,基于此类数据的应用将是后续研究中的一个重要发展方向。

The authors have declared that no competing interests exist.


参考文献

[1] 刘伟东,尤焕苓,孙丹.

1971-2010年京津冀大城市热岛效应多时间尺度分析

[J].气象,2016,42(5):598-606.

https://doi.org/10.7519/j.issn.1000-0526.2016.05.009      URL      [本文引用: 1]      摘要

利用1971-2010年均一化的京津冀区域逐日气温数据与质量控制后的2011年自动站逐时气温数据,分析了北京、天津和石家庄热岛效应的多尺度时间变化特征。结果表明,三个城市平均、最高和最低气温的热岛效应呈非对称性特征,最强为最低气温的热岛效应,其次为平均气温的热岛效应,最弱为最高气温的热岛效应。北京平均气温的热岛效应最强,其次为天津,石家庄相对较弱,石家庄平均气温的热岛效应近40年呈显著上升趋势,每10年达0.13℃。石家庄最高气温的热岛效应最强,其次为北京,最小为天津,近40年北京最高气温的热岛效应呈缓慢上升趋势,每10年增加0.06℃,石家庄变化不明显,天津呈微弱下降趋势。最低气温的热岛在北京最强,其次为天津,最小为石家庄,近40年最低气温热岛效应天津呈明显上升趋势,每10年增加0.18℃,其次为石家庄,北京呈微弱下降趋势。三个城市的平均气温、最低气温的热岛效应季节变化通常表现为夏季较弱,冬季最强。三个城市最高气温的热岛效应季节变化差异较大,北京10月热岛效应最弱,其他月份变化不大;天津热岛效应6月最弱,在1或12月最强;石家庄4和5月热岛效应最强,10月热岛效应最弱。由2011年自动站数据得到的平均气温热岛效应与1971-2010年的40年平均得到的平均气温的热岛效应季节变化具有类似的规律。2011年自动站热岛效应在一天中表现为白天热岛强度较低,而夜间热岛强度较高。

[ Liu W D, You H L, Sun D.

Multi-time scale analysis of megacities heat island effect in Beijing-Tianjin-Hebei region from 1971 to 2010

[J]. Meteorological Monthly, 2016,42(5):598-606. ]

https://doi.org/10.7519/j.issn.1000-0526.2016.05.009      URL      [本文引用: 1]      摘要

利用1971-2010年均一化的京津冀区域逐日气温数据与质量控制后的2011年自动站逐时气温数据,分析了北京、天津和石家庄热岛效应的多尺度时间变化特征。结果表明,三个城市平均、最高和最低气温的热岛效应呈非对称性特征,最强为最低气温的热岛效应,其次为平均气温的热岛效应,最弱为最高气温的热岛效应。北京平均气温的热岛效应最强,其次为天津,石家庄相对较弱,石家庄平均气温的热岛效应近40年呈显著上升趋势,每10年达0.13℃。石家庄最高气温的热岛效应最强,其次为北京,最小为天津,近40年北京最高气温的热岛效应呈缓慢上升趋势,每10年增加0.06℃,石家庄变化不明显,天津呈微弱下降趋势。最低气温的热岛在北京最强,其次为天津,最小为石家庄,近40年最低气温热岛效应天津呈明显上升趋势,每10年增加0.18℃,其次为石家庄,北京呈微弱下降趋势。三个城市的平均气温、最低气温的热岛效应季节变化通常表现为夏季较弱,冬季最强。三个城市最高气温的热岛效应季节变化差异较大,北京10月热岛效应最弱,其他月份变化不大;天津热岛效应6月最弱,在1或12月最强;石家庄4和5月热岛效应最强,10月热岛效应最弱。由2011年自动站数据得到的平均气温热岛效应与1971-2010年的40年平均得到的平均气温的热岛效应季节变化具有类似的规律。2011年自动站热岛效应在一天中表现为白天热岛强度较低,而夜间热岛强度较高。
[2] 陈彬辉,冯瑶,袁建国,.

基于MODIS地表温度的京津冀地区城市热岛时空差异研究

[J].北京大学学报(自然科学版),2016,52(6):1134-1140.

https://doi.org/10.13209/j.0479-8023.2016.104      URL      Magsci      [本文引用: 1]      摘要

<p align="justify">利用2000, 2005 和2010年土地利用数据识别城市和郊区, 基于2000&mdash;2010年 1, 4, 7, 10月MODIS地温产品探究京津冀地区城市热岛效应的时空差异, 讨论城区土地利用对城市热岛效应的影响。结果表明,京津冀地区城市热岛效应的昼夜、季节特征突出。白天热岛与夜间热岛差异较大, 夜间92.8%以上的城镇表现为热岛, 且季节差异小。夏季白天热岛最强, 冬季白天85%的城市呈现冷岛效应。白天水体减弱城市热岛强度, 夜间相反。春、夏季草地增加白天城市热岛强度, 冬季白天为减弱作用, 夜间四季均为增强作用。农田和林地在春、夏、秋季白天减弱城市热岛强度, 冬季白天为增强作用, 夜间四季均为减弱作用。</p>

[ Chen B H, Fen Y, Yuan J G, et al.

Spatiotemporal difference of urban heat island in Jing-Jin-Ji area based on MODIS land surface temperature

[J]. Acta Scientiarum Naturalium Universitatis Pekinensis, 2016,52(6):1134-1140. ]

https://doi.org/10.13209/j.0479-8023.2016.104      URL      Magsci      [本文引用: 1]      摘要

<p align="justify">利用2000, 2005 和2010年土地利用数据识别城市和郊区, 基于2000&mdash;2010年 1, 4, 7, 10月MODIS地温产品探究京津冀地区城市热岛效应的时空差异, 讨论城区土地利用对城市热岛效应的影响。结果表明,京津冀地区城市热岛效应的昼夜、季节特征突出。白天热岛与夜间热岛差异较大, 夜间92.8%以上的城镇表现为热岛, 且季节差异小。夏季白天热岛最强, 冬季白天85%的城市呈现冷岛效应。白天水体减弱城市热岛强度, 夜间相反。春、夏季草地增加白天城市热岛强度, 冬季白天为减弱作用, 夜间四季均为增强作用。农田和林地在春、夏、秋季白天减弱城市热岛强度, 冬季白天为增强作用, 夜间四季均为减弱作用。</p>
[3] 金鑫,金彦香,杨登兴.

SWAT模型在土地利用/覆被变化剧烈地区的改进与应用

[J].地球信息科学学报,2018,20(8):1064-1073.

URL      [本文引用: 1]      摘要

人口增长、气候变化、制度变迁、城市化等均会导致土地利用/覆被的变化,进而引起流域水文过程(截留、入渗、蒸散发和地下水补给等)和水循环过程的改变.当前,由于逐年土地利用/覆被数据获取困难、水文模型本身计算缺陷等问题,所有在流域尺度上开展的借助水文模型进行的土地利用/覆被变化影响下的水文模拟研究都存在一个共同缺点,就是采用的水文模型并不能逐年调用土地利用/覆被数据,即水文模型无法真实体现或模拟土地利用/覆被的时空变化.SWAT作为一个广泛应用的分布式水文模型,在其模拟期内,不能逐年调用土地利用/覆被数据,即在进行水文模拟时忽略了土地利用/覆被时间上的变化,这可能会影响其在土地利用/覆被变化剧烈地区(如黑河中游)的应用.黑河流域是典型的内陆河流域,也是中国西北地区第二大内陆河流域.黑河中游是黑河流域的径流耗散区.本文针对SWAT模型在考虑土地利用/覆被变化时的缺点,对其进行了改进并开发出能够逐年调用土地利用/覆被数据的LU-SWAT模型.在土地利用/覆被变化剧烈的黑河中游对SWAT和LU-SWAT模型的径流模拟效果进行比较,发现LU-SWAT模型更适用于黑河中游水循环模拟.

[ Jin X, Jin Y X, Yang D X.

Improved SWAT and its application to a region with severe land use/land cover changes

[J] Journal of Geo-information Science, 2018,20(8):1064-1073. ]

URL      [本文引用: 1]      摘要

人口增长、气候变化、制度变迁、城市化等均会导致土地利用/覆被的变化,进而引起流域水文过程(截留、入渗、蒸散发和地下水补给等)和水循环过程的改变.当前,由于逐年土地利用/覆被数据获取困难、水文模型本身计算缺陷等问题,所有在流域尺度上开展的借助水文模型进行的土地利用/覆被变化影响下的水文模拟研究都存在一个共同缺点,就是采用的水文模型并不能逐年调用土地利用/覆被数据,即水文模型无法真实体现或模拟土地利用/覆被的时空变化.SWAT作为一个广泛应用的分布式水文模型,在其模拟期内,不能逐年调用土地利用/覆被数据,即在进行水文模拟时忽略了土地利用/覆被时间上的变化,这可能会影响其在土地利用/覆被变化剧烈地区(如黑河中游)的应用.黑河流域是典型的内陆河流域,也是中国西北地区第二大内陆河流域.黑河中游是黑河流域的径流耗散区.本文针对SWAT模型在考虑土地利用/覆被变化时的缺点,对其进行了改进并开发出能够逐年调用土地利用/覆被数据的LU-SWAT模型.在土地利用/覆被变化剧烈的黑河中游对SWAT和LU-SWAT模型的径流模拟效果进行比较,发现LU-SWAT模型更适用于黑河中游水循环模拟.
[4] Camila M, Nakata-Osaki, Léa Cristina L S, et al.

This-tool for heat island simulation: A GIS extension model to calculate urban heat island intensity based on urban geometry

[J]. Computers, Environment and Urban Systems, 2018,67:157-168.

https://doi.org/10.1016/j.compenvurbsys.2017.09.007      URL      [本文引用: 1]     

[5] 彭保发,石忆邵,王贺封,.

城市热岛效应的影响机理及其作用规律——以上海市为例

[J].地理学报,2013,68(11):1461-1471.

https://doi.org/10.11821/dlxb201311002      URL      [本文引用: 1]      摘要

以上海市为例,从土地利用规模和强度的变化、类型和布局的变化、利用方式的变化三个方面揭示其对热岛效应的影响机理;实证分析结果表明:(1)土地城市化是上海城市热岛强度的主要影响因素;就建成区扩张对热岛强度的具体影响而言,累积效应大于其增量效应;(2)工业化、房地产开发、人口增长对上海城市热岛强度均具有较大的影响;就经济发展和能源消耗对城市热岛强度的具体影响而言,密度效应通常大于其规模效应;就全社会房屋竣工面积、20层以上高层建筑数量对热岛强度的影响而言,累积效应小于增量效应;就人口增长对城市热岛强度的具体影响而言,密度效应与规模效应大体相近;(3)土地利用和城市发展模式的差异导致了城市热岛效应的空间差异。

[ Peng B F, Shi Y S, Wang H F, et al.

The impacting mechanism and laws of function of urban heat islands effect: A case study of Shanghai

[J]. Acta Geographica Sinica, 2013,68(11):1461-1471. ]

https://doi.org/10.11821/dlxb201311002      URL      [本文引用: 1]      摘要

以上海市为例,从土地利用规模和强度的变化、类型和布局的变化、利用方式的变化三个方面揭示其对热岛效应的影响机理;实证分析结果表明:(1)土地城市化是上海城市热岛强度的主要影响因素;就建成区扩张对热岛强度的具体影响而言,累积效应大于其增量效应;(2)工业化、房地产开发、人口增长对上海城市热岛强度均具有较大的影响;就经济发展和能源消耗对城市热岛强度的具体影响而言,密度效应通常大于其规模效应;就全社会房屋竣工面积、20层以上高层建筑数量对热岛强度的影响而言,累积效应小于增量效应;就人口增长对城市热岛强度的具体影响而言,密度效应与规模效应大体相近;(3)土地利用和城市发展模式的差异导致了城市热岛效应的空间差异。
[6] Chen A L, Zhao X F, Yao L, et al.

Application of a new integrated landscape index to predict potential urban heat islands

[J]. Ecological Indicators, 2016,69:828-835.

https://doi.org/10.1016/j.ecolind.2016.05.045      URL      [本文引用: 1]      摘要

Studies on the interactions between urban landscape patterns and land surface temperatures are the key to urban heat island (UHI) mitigation. However, the landscape pattern indices used in previous studies were inconsistent in type and number. Furthermore, few studies combined the composition and configuration indices into one integrated indicator. The description of landscape pattern is thus a great yet rewarding challenge. In this study, we used the integrated location weighted landscape index (LWLI) proposed by Chen et al. (2009) and revised it to indicate potential UHIs. Fifty-six circular landscape samples along four transects were created and the LWLI was derived based on the theory of the GINI index. The LWLI considers the type, composition and configuration of different land covers inside a landscape, where configuration is treated as location weights. The potential UHI was represented by the land surface temperature (LST) of each circle landscape center. The correlation analysis results showed that the LWLI was significantly positively correlated with summer potential UHIs, with a Pearson R equaling 0.736, and barely correlated with winter potential UHI. Moreover, the LWLI was slightly more strongly correlated with potential UHI than composition alone. These correlations weakened as the landscapes grew larger. The linear regression results further revealed that the LWLI explained about 53% of the summer potential UHI, which was slightly better than composition alone (49%). This indicated that the LWLI was as effective in predicting the potential UHI as the combination of several pattern indicators, echoing Tobler first law of geography, which states that 渁ll things are related, but nearby things are more related than distant things. This study also leaves room for improvement of the index by integrating more environmental/ecological parameters as weights, and for further application of the index in other fields.
[7] Jose L F R, Filho A J Pereira, Karam H A.

Estimation of long term low resolution surface urban heat island intensities for tropical cities using MODIS remote sensing data

[J]. Urban Climate, 2016,17:32-66.

https://doi.org/10.1016/j.uclim.2016.04.002      URL      [本文引用: 1]      摘要

61Implement a statistical methodology to estimate SUHI intensities61Based on quantile analysis of pattern of land surface temperatures61Complementary or alternative methodology to the Streutker's scheme61Relationship between land surface temperature and vegetation indices
[8] 侯浩然,丁凤,黎勤生.

近20年来福州城市热环境变化遥感分析

[J].地球信息科学学报,2018,20(3):385-395.

URL      [本文引用: 1]      摘要

城市热环境是城市微气候的重要组成部分,已成为近年来的研究热点。受制于卫星传感器较低的热红外波段空间分辨率,此类数据反演得到的地表温度难以反映城市热环境的实际情况。为解决这一困境,本文利用空间降尺度HUTS算法反演得到30 m空间分辨率的福州市中心城区1994年5月12日、2003年5月29日和2016年7月27日3个时相的地表温度影像。在此基础上,结合土地利用等数据对热环境的时空变化做定量分析,并进一步引入景观指数,分析近20年间福州市中心城区高温度等级斑块的形态变化。结果表明:(1)近20年间随着城市拓展,福州市建成区的高温区域面积从35.75 km2增加到184.11 km2,高温度等级斑块不断从市中心向四周扩散;(2)市中心的特高温斑块和高温斑块趋向破裂、分散,聚集程度下降,次高温斑块的面积与占比均大幅提升,成为建成区内高温区域的主要组成部分;(3)城市热岛比例指数URI由0.39上升到0.52,热岛效应明显加强。总体上,近20 a间福州市建成区的热环境变化较大,其中鼓楼区南部、台江区和晋安区南部的高温区域聚集现象有所改善,而仓山区、马尾区和闽侯县的大部分区域在经历快速城市化过程后温度等级明显升高。

[ Hou H R, Ding F, Li Q S.

Remote sensing analysis of changes of urban thermal environment of Fuzhou city in China in the past 20 years

[J]. Journal of Geo-information Science, 2018,20(3):385-395. ]

URL      [本文引用: 1]      摘要

城市热环境是城市微气候的重要组成部分,已成为近年来的研究热点。受制于卫星传感器较低的热红外波段空间分辨率,此类数据反演得到的地表温度难以反映城市热环境的实际情况。为解决这一困境,本文利用空间降尺度HUTS算法反演得到30 m空间分辨率的福州市中心城区1994年5月12日、2003年5月29日和2016年7月27日3个时相的地表温度影像。在此基础上,结合土地利用等数据对热环境的时空变化做定量分析,并进一步引入景观指数,分析近20年间福州市中心城区高温度等级斑块的形态变化。结果表明:(1)近20年间随着城市拓展,福州市建成区的高温区域面积从35.75 km2增加到184.11 km2,高温度等级斑块不断从市中心向四周扩散;(2)市中心的特高温斑块和高温斑块趋向破裂、分散,聚集程度下降,次高温斑块的面积与占比均大幅提升,成为建成区内高温区域的主要组成部分;(3)城市热岛比例指数URI由0.39上升到0.52,热岛效应明显加强。总体上,近20 a间福州市建成区的热环境变化较大,其中鼓楼区南部、台江区和晋安区南部的高温区域聚集现象有所改善,而仓山区、马尾区和闽侯县的大部分区域在经历快速城市化过程后温度等级明显升高。
[9] Sun Q, Wu Z, Tan J.

The relationship between land surface temperature and land use/land cover in Guangzhou, China

[J]. Environmental Earth Sciences, 2012,65(6):1687-1694.

https://doi.org/10.1007/s12665-011-1145-2      URL      [本文引用: 1]      摘要

AbstractThe integration of remote sensing, geographic information system, landscape ecology and statistical analysis methods was applied to study the urban thermal environment in Guangzhou. Normalized Difference Vegetation Index (NDVI), Normalized Difference Build-up Index (NDBI), Normalized Difference Barren Index (NDBaI) and Modified Normalized Difference Water Index (MNDWI) were used to analyze the relationships between land surface temperature (LST) and land use/land cover (LULC) qualitatively. The result revealed that, most urban built-up lands were located in the middle part, and high LST areas mostly and were in the middle and southern parts. Therefore, the urbanization and thermal environment in the middle and southern parts need to be determined. Land surface temperature increased with the density of urban built-up and barren land, but decreased with vegetation cover. The relationship between MNDWI and LST was found to be negative, which implied that pure water would decrease the surface temperature and the polluted water would increase the surface temperature. A multiple regression between LST and each indices as well as the elevation was created to elevate the urban thermal environment, which showed that NDVI, NDBI, NDBaI, MNDWI were effective indicators for quantifying LULC impacts on LST.
[10] 陈云浩,史培军,李晓兵,.

城市空间热环境的遥感研究——热场结构及其演变的分形测量

[J].测绘学报,2002,31(4):322-326.

https://doi.org/10.3321/j.issn:1001-1595.2002.04.008      URL      [本文引用: 1]      摘要

如何定量分析城市热环境(热场)结构及其演变特征是当前热环境遥感研究中的难点问题之一.本 文将分形几何引入到对热场结构信息的定量研究中,针对城市热环境的结构特点设计出3种不同的分形计算模型:灰度曲面分形,剖面线分形和像元点分形.其中灰 度曲面分形计算侧重揭示热场整体的分形特征,剖面线分形可用于对典型区域的热场结构信息变化的对比分析,像元点分形计算则给出了像元热场变化梯度的定量描 述.应用上述模型对1990年、1995年、1998年上海城市热环境的结构信息及其变化过程进行了分析.

[ Chen Y H, Shi P J, Li X B, et al.

Research on urban spatial thermal environment using remote sensing image

[J]. Acta Geodaetica et Cartographica Sinica, 2002,31(4):322-326. ]

https://doi.org/10.3321/j.issn:1001-1595.2002.04.008      URL      [本文引用: 1]      摘要

如何定量分析城市热环境(热场)结构及其演变特征是当前热环境遥感研究中的难点问题之一.本 文将分形几何引入到对热场结构信息的定量研究中,针对城市热环境的结构特点设计出3种不同的分形计算模型:灰度曲面分形,剖面线分形和像元点分形.其中灰 度曲面分形计算侧重揭示热场整体的分形特征,剖面线分形可用于对典型区域的热场结构信息变化的对比分析,像元点分形计算则给出了像元热场变化梯度的定量描 述.应用上述模型对1990年、1995年、1998年上海城市热环境的结构信息及其变化过程进行了分析.
[11] 张心怡,刘敏,孟飞.

基于RS和GIS的上海城建用地扩展研究

[J].长江流域资源与环境,2006,15(1):29-33.

https://doi.org/10.3969/j.issn.1004-8227.2006.01.007      URL      Magsci      [本文引用: 2]      摘要

利用多时相遥感影像,借助GIS强大的空间分析功能对上海市城镇建设用地的时空扩展过程、特征、规律作了探讨,结合社会经济统计数据对上海市城镇建设用地扩展驱动力进行了分析和综合评估。研究结果表明:1985~1995年城镇建设用地扩展主要集中于城郊边缘地带,而1995~2000年地区扩展差异则更为明显;上海城市扩展主要侵占的用地类型为耕地,其中以水田为主,同时也占用了较多的农村居民点;上海城镇建设用地在不同方向上扩展程度和规模有较大不同;随着距离城区几何中心点距离的增加,各阶段城镇建设用地扩展强度指数都呈现一个大致相同的变化过程,扩展强度指数最高的区域大多位于上海主城区的外围即城乡交替地带;经济发展是上海城镇建设用地扩展的决定因素,郊区小城镇及小城镇工业的发展是郊区城镇建设用地扩张的一个重要影响因素。

[ Zhang X Y, Liu M, Meng F.

Expansion of urban construction land in Shanghai City based on RS and GIS

. Resources and Environment in the Yangtze Basin, 2006,15(1):29-33. ]

https://doi.org/10.3969/j.issn.1004-8227.2006.01.007      URL      Magsci      [本文引用: 2]      摘要

利用多时相遥感影像,借助GIS强大的空间分析功能对上海市城镇建设用地的时空扩展过程、特征、规律作了探讨,结合社会经济统计数据对上海市城镇建设用地扩展驱动力进行了分析和综合评估。研究结果表明:1985~1995年城镇建设用地扩展主要集中于城郊边缘地带,而1995~2000年地区扩展差异则更为明显;上海城市扩展主要侵占的用地类型为耕地,其中以水田为主,同时也占用了较多的农村居民点;上海城镇建设用地在不同方向上扩展程度和规模有较大不同;随着距离城区几何中心点距离的增加,各阶段城镇建设用地扩展强度指数都呈现一个大致相同的变化过程,扩展强度指数最高的区域大多位于上海主城区的外围即城乡交替地带;经济发展是上海城镇建设用地扩展的决定因素,郊区小城镇及小城镇工业的发展是郊区城镇建设用地扩张的一个重要影响因素。
[12] 王福海,陈丹.

建设用地扩展对城市热环境影响研究

[J].中国人口·资源与环境,2016,26(S1):194-197.

URL      [本文引用: 1]      摘要

本文以重庆主城区为研究区,采用1988a、2000a、2002a、2007a和2010a Landsat TM遥感数据,基于人机交互解译和定量遥感技术相结合的方法,反演重庆主城区1988a、2000a、2002a、2007a、2010a地表温度和归一化建筑指数,研究重庆主城区热环境时空变化特征和建设用地扩展之间的关系。研究结果表明:1988a-2010a,重庆主城区地表温度中的高温区主要向北迁移;地表温度整体有上升趋势、呈现出同心圆分布;重庆主城区热环境问题日益严重;地表温度与建设用地呈明显的正相关关系,新增建设用地容易形成新兴的热岛区。

[ Wang F H, Chen D.

Temporal-spatial variation of the thermal environment impact research by distribution characteristics of construction land

[J]. Chinese Journal of Population Resources and Environment, 2016,26(S1):194-197. ]

URL      [本文引用: 1]      摘要

本文以重庆主城区为研究区,采用1988a、2000a、2002a、2007a和2010a Landsat TM遥感数据,基于人机交互解译和定量遥感技术相结合的方法,反演重庆主城区1988a、2000a、2002a、2007a、2010a地表温度和归一化建筑指数,研究重庆主城区热环境时空变化特征和建设用地扩展之间的关系。研究结果表明:1988a-2010a,重庆主城区地表温度中的高温区主要向北迁移;地表温度整体有上升趋势、呈现出同心圆分布;重庆主城区热环境问题日益严重;地表温度与建设用地呈明显的正相关关系,新增建设用地容易形成新兴的热岛区。
[13] 张丽娟,于洋,粟练灵,.

1960-2010年黑龙江省土地利用变化对气温的影响

[J].地理科学,2017,37(6):952-959.

URL      [本文引用: 1]      摘要

基于黑龙江省1960~2010年的土地利用变化,采用自然正交分解(EOF)、气候倾向率及Observation Minus Reanalysis(OMR)等方法,分析了土地利用变化对黑龙江省气温的影响。研究发现:(1)1960~2010年黑龙江省耕地、建设用地、水域面积依次增加,沼泽、草地和林地依次减少。土地利用变化区域性较明显,沼泽转变为耕地集中在东部,草地转为耕地集中分布在黑龙江省西部,沼泽转为林地和林地转为耕地集中在北部,建设用地增加主要集中在南部;(2)黑龙江省1960~2010年土地利用变化对年平均气温及各个季节平均气温均产生升高效应,但并不显著,对年气温的影响趋势为0.053℃/10a,贡献率为12.1%;(3)1960~2010年土地利用变化产生气温空间变化异质性,但没有改变气温纬向性空间分布特征;(4)1960~2010年,林地和沼泽的气温影响效应为升温,草地和耕地为降温,但各个季节有所差异,夏季和秋季表现出降温效应,建设用地全年及各个季节均表现出升温效应,冬季最强;林地转耕地、草地转耕地均以升温效应为主,沼泽转耕地为降温效应。

[ Zhang L J, Yu Y, Li LL, et al.

Effects of land use change on air temperature of Heilongjiang Province in 1960-2010

[J]. Chinese Geographical Science, 2017,37(6):952-959. ]

URL      [本文引用: 1]      摘要

基于黑龙江省1960~2010年的土地利用变化,采用自然正交分解(EOF)、气候倾向率及Observation Minus Reanalysis(OMR)等方法,分析了土地利用变化对黑龙江省气温的影响。研究发现:(1)1960~2010年黑龙江省耕地、建设用地、水域面积依次增加,沼泽、草地和林地依次减少。土地利用变化区域性较明显,沼泽转变为耕地集中在东部,草地转为耕地集中分布在黑龙江省西部,沼泽转为林地和林地转为耕地集中在北部,建设用地增加主要集中在南部;(2)黑龙江省1960~2010年土地利用变化对年平均气温及各个季节平均气温均产生升高效应,但并不显著,对年气温的影响趋势为0.053℃/10a,贡献率为12.1%;(3)1960~2010年土地利用变化产生气温空间变化异质性,但没有改变气温纬向性空间分布特征;(4)1960~2010年,林地和沼泽的气温影响效应为升温,草地和耕地为降温,但各个季节有所差异,夏季和秋季表现出降温效应,建设用地全年及各个季节均表现出升温效应,冬季最强;林地转耕地、草地转耕地均以升温效应为主,沼泽转耕地为降温效应。
[14] Liu X, Wang C L, Jing Y S, et al.

Annual variations of temperature on four urban underlying surfaces and fitting analysis

[J]. Journal of Tropical Meteorology, 2013,19(2):138-144.

https://doi.org/10.1175/JCLI-D-12-00858.1      URL      [本文引用: 1]      摘要

Based on the observed 2-year temperature data for four kinds of typical urban underlying surfaces,including asphalt, cement, bare land and grass land, the annual variations and influencing factors of landsurface temperature are analyzed. Then fitting equations for surface temperature are established. It is shownthat the annual variation of daily average, maximum and minimum temperature and daily temperature rangeon the four urban underlying surfaces is consistent with the change in air temperature. The difference oftemperature on different underlying surfaces in the summer half year (May to October) is much moreevident than that in the winter half year (December to the following April). The daily average and maximumtemperatures of asphalt, cement, bare land and grass land are higher than air temperature due to theatmospheric heating in the daytime, with that of asphalt being the highest, followed in turn by cement, bareland and grass land. Moreover, the daily average, maximum and minimum temperature on the four urbanunderlying surfaces are strongly impacted by total cloud amount, daily average relative humidity andsunshine hours. The land surface can be cooled (warmed) by increased total cloud amount (relativehumidity). The changes in temperature on bare land and grass land are influenced by both the total cloudamount and the daily average relative humidity. The temperature parameters of the four land surfaces aresignificantly correlated with daily average, maximum and minimum temperature, sunshine hours, dailyaverage relative humidity and total cloud amount, respectively. The analysis also indicates that the range offitting parameter of a linear regression equation between the surface temperature of the four kinds of typicalland surface and the air temperature is from 0.809 to 0.971, passing the F-test with a confidence level of 0.99.
[15] Pramod N Chivate, Andrei G Jablokow.

Review of surface representations and fitting for reverse engineering

[J]. Computer Integrated Manufacturing Systems, 1995,8(3):193-204.

https://doi.org/10.1016/0951-5240(95)00012-I      URL      [本文引用: 1]      摘要

Abstract The selection of an appropriate surface representation scheme for reverse engineering and inspection depends upon several criteria, including fitting schemes, data collection, intersection algorithms, surface extension and constraint management. A comparison is presented between algebraic and parametric surfaces based on these criteria. The results of the paper are useful in choosing surface representations for various reverse engineering applications.
[16] 占文凤,陈云浩,周纪.

支持向量机的北京城市热岛模拟:热岛强度空间格局曲面模拟及其应用

[J].测绘学报,2011,40(1):96-103.

URL      Magsci      [本文引用: 1]      摘要

城市热岛强度的曲面模拟为深入分析城市热岛的空间格局、形态及演变特征提供了有力保证。将支持向量机(SVM)曲面拟合算法引入城市热岛曲面模拟研究,以MODIS的地表温度产品(LST)数据为例,对2006~2008年北京地区城市热岛强度进行支持向量机(SVM)曲面拟合。敏感性分析和精度评价表明该算法精度较高,能够用来表征城市热岛的空间格局。凭借该算法可对城市地表温度热岛制图。应用结果表明北京地区白天城市热岛强度与乡村背景温度呈现正相关的弱线性关系,夜间恰好相反。白天和夜间城市热岛容量均大致服从正弦周期性变化规律,但夜间热岛容量的年较差远小于白天。

[ Zhan W F, Chen Y H, Zhou J, et al.

Spatial simulation of urban heat island intensity based on the support vector machine technique: A case study in Beijing

[J]. Acta Geodaetica et Cartographica Sinica, 2011,40(1):96-103.]

URL      Magsci      [本文引用: 1]      摘要

城市热岛强度的曲面模拟为深入分析城市热岛的空间格局、形态及演变特征提供了有力保证。将支持向量机(SVM)曲面拟合算法引入城市热岛曲面模拟研究,以MODIS的地表温度产品(LST)数据为例,对2006~2008年北京地区城市热岛强度进行支持向量机(SVM)曲面拟合。敏感性分析和精度评价表明该算法精度较高,能够用来表征城市热岛的空间格局。凭借该算法可对城市地表温度热岛制图。应用结果表明北京地区白天城市热岛强度与乡村背景温度呈现正相关的弱线性关系,夜间恰好相反。白天和夜间城市热岛容量均大致服从正弦周期性变化规律,但夜间热岛容量的年较差远小于白天。
[17] Vapnik V.

The nature of statistical learning theory

[M]New York: Springer-Verlag,1995.

[18] 丁世飞,齐丙娟,谭红艳.

支持向量机理论与算法研究综述

[J].电子科技大学学报,2011,40(1):2-10.

https://doi.org/10.3969/j.issn.1001-0548.2011.01.001      URL      [本文引用: 1]      摘要

统计学习理论(statistical learning theory,SLT)是一种小样本统计理论,着重研究在小样本情况下的统计规律及学习方法性质。支持向量机(support vector machinse,SVM)是一种基于SLT的新型的机器学习方法,由于其出色的学习性能,已经成为当前机器学习界的研究热点。该文系统介绍了支持向量机的理论基础,综述了传统支持向量机的主流训练算法以及一些新型的学习模型和算法,最后指出了支持向量机的研究方向与发展前景。

[ Ding S F, Qi B J, Tan H Y.

An overview on theory and algorithm of support vector machines

[J]. Journal of University of Electronic Science and Technology of China, 2011,40(1):2-10. ]

https://doi.org/10.3969/j.issn.1001-0548.2011.01.001      URL      [本文引用: 1]      摘要

统计学习理论(statistical learning theory,SLT)是一种小样本统计理论,着重研究在小样本情况下的统计规律及学习方法性质。支持向量机(support vector machinse,SVM)是一种基于SLT的新型的机器学习方法,由于其出色的学习性能,已经成为当前机器学习界的研究热点。该文系统介绍了支持向量机的理论基础,综述了传统支持向量机的主流训练算法以及一些新型的学习模型和算法,最后指出了支持向量机的研究方向与发展前景。
[19] 乔治,田光进.

北京市热环境时空分异与区划

[J].遥感学报,2014,18(3):715-734.

https://doi.org/10.11834/jrs.20143030      URL      Magsci      [本文引用: 1]      摘要

城市热环境空间区划是采用分区管理的思路来缓解城市社会经济发展与热环境之间矛盾的技术基础。本文构建城市热环境区划模型的思路为:(1)将不同时相的MODIS地表温度数据产品进行正规化、分级,分析2008年北京城市热环境时空分布特征。(2)构建城市热环境影响因素评价体系,并通过空间主成分分析计算得到热环境影响主成分因子。(3)通过自组织映射神经网络,利用热环境影响主因子,进一步对热环境进行空间区划。结果表明,北京夜间较白天城市热岛分布层次感明显,夏季白天较其他季节高温区聚合程度高。区域下垫面组成要素直接影响热环境,北京城市热环境的主成分因子依次为植被覆盖、地形地貌、城市下垫面建设规模和人为热排放,并依此将北京划为7个热环境区域,根据各个分区热环境成因机制差异分别提出热环境改善和调控措施。

[ Qiao Z,Tian G J.

Spatiotemporal diversity and regionalization of the urban thermal environment in Beijing

[J]. Journal of Remote Sensing, 2014,18(3):715-734. ]

https://doi.org/10.11834/jrs.20143030      URL      Magsci      [本文引用: 1]      摘要

城市热环境空间区划是采用分区管理的思路来缓解城市社会经济发展与热环境之间矛盾的技术基础。本文构建城市热环境区划模型的思路为:(1)将不同时相的MODIS地表温度数据产品进行正规化、分级,分析2008年北京城市热环境时空分布特征。(2)构建城市热环境影响因素评价体系,并通过空间主成分分析计算得到热环境影响主成分因子。(3)通过自组织映射神经网络,利用热环境影响主因子,进一步对热环境进行空间区划。结果表明,北京夜间较白天城市热岛分布层次感明显,夏季白天较其他季节高温区聚合程度高。区域下垫面组成要素直接影响热环境,北京城市热环境的主成分因子依次为植被覆盖、地形地貌、城市下垫面建设规模和人为热排放,并依此将北京划为7个热环境区域,根据各个分区热环境成因机制差异分别提出热环境改善和调控措施。
[20] 郭兵,陶和平,刘斌涛,.

基于GIS、Delaunay三角形的复杂地形区经济重心获取新方法

[J].地理与地理信息科学,2012,28(2):55-59.

URL      [本文引用: 1]      摘要

传统的经济重心求算方法中忽略了经济发展的辐射效应及城市化过程 产生的聚集效应和邻近效应,特别是地形对经济发展的影响.该文提出了基于GIS和Delaunay三角形的新的研究方法,通过空间插值Cokriging 算法以及对空间点集的平面剖分并结合GIS进行多重迭代运算,在一定程度上解决了传统算法中存在的不足.以2005年四川省各县市的国民生产总值为例,简 要阐述了研究方法的技术流程,为以后人口重心、耕地重心等其他社会评价指标重心的研究提供了新方法.

[ Guo B, Tao H P, Liu B, et al.

Research on acquisition method of economic gravity center based on GIS and Delaunay in complicated terrain area

[J]. Geography and Geo-information Science, 2012,28(2):55-59. ]

URL      [本文引用: 1]      摘要

传统的经济重心求算方法中忽略了经济发展的辐射效应及城市化过程 产生的聚集效应和邻近效应,特别是地形对经济发展的影响.该文提出了基于GIS和Delaunay三角形的新的研究方法,通过空间插值Cokriging 算法以及对空间点集的平面剖分并结合GIS进行多重迭代运算,在一定程度上解决了传统算法中存在的不足.以2005年四川省各县市的国民生产总值为例,简 要阐述了研究方法的技术流程,为以后人口重心、耕地重心等其他社会评价指标重心的研究提供了新方法.
[21] 王劲峰,葛咏,李连发,.

地理学时空数据分析方法

[J].地理学报,2014,69(9):1326-1345.

https://doi.org/10.11821/dlxb201409007      URL      [本文引用: 1]      摘要

随着地理空间观测数据的多年积累,地球环境、社会和健康数据监测能力的增强,地理信息系统和计算机网络的发展,时空数据集大量生成,时空数据分析实践呈现快速增长。本文对此进行了分析和归纳,总结了时空数据分析的7类主要方法,包括:时空数据可视化,目的是通过视觉启发假设和选择分析模型;空间统计指标的时序分析,反映空间格局随时间变化;时空变化指标,体现时空变化的综合统计量;时空格局和异常探测,揭示时空过程的不变和变化部分;时空插值,以获得未抽样点的数值;时空回归,建立因变量和解释变量之间的统计关系;时空过程建模,建立时空过程的机理数学模型;时空演化树,利用空间数据重建时空演化路径。通过简述这些方法的基本原理、输入输出、适用条件以及软件实现,为时空数据分析提供工具和方法手段。

[ Wang J F, Ge Y, Li L F, et al.

Spatiotemporal data analysis in geography

[J]. Acta Geologica Sinica, 2014,69(9):1326-1345.]

https://doi.org/10.11821/dlxb201409007      URL      [本文引用: 1]      摘要

随着地理空间观测数据的多年积累,地球环境、社会和健康数据监测能力的增强,地理信息系统和计算机网络的发展,时空数据集大量生成,时空数据分析实践呈现快速增长。本文对此进行了分析和归纳,总结了时空数据分析的7类主要方法,包括:时空数据可视化,目的是通过视觉启发假设和选择分析模型;空间统计指标的时序分析,反映空间格局随时间变化;时空变化指标,体现时空变化的综合统计量;时空格局和异常探测,揭示时空过程的不变和变化部分;时空插值,以获得未抽样点的数值;时空回归,建立因变量和解释变量之间的统计关系;时空过程建模,建立时空过程的机理数学模型;时空演化树,利用空间数据重建时空演化路径。通过简述这些方法的基本原理、输入输出、适用条件以及软件实现,为时空数据分析提供工具和方法手段。

/