×
模态框(Modal)标题
在这里添加一些文本
关闭
关闭
提交更改
取消
确定并提交
×
模态框(Modal)标题
×
期刊
文章
图表
检索
EN
中文
首页
关于期刊
期刊定位与发展现状
数据库收录
期刊荣誉
编委会
投稿指南
期刊政策
期刊订阅
联系我们
EN
中文
图/表 详细信息
面向高光谱影像小样本分类的全局-局部特征自适应融合方法
左溪冰, 刘智, 金飞, 林雨准, 王淑香, 刘潇, 李美霖
地球信息科学学报, 2023, 25(
8
): 1699-1716. DOI:
10.12082/dqxxkx.2023.230058
类别序号
类别名称
训练样本
验证样本
测试样本
1
玉米
40
10
34 511
2
棉花
40
10
8 374
3
芝麻
40
10
3 031
4
阔叶大豆
40
10
63 212
5
窄叶大豆
40
10
4 151
6
大米
40
10
11 854
7
水
40
10
67 056
8
道路和房屋
40
10
7 124
9
混合杂草
40
10
5 229
总计
360
90
204 542
表4
Category of ground objects and sample number of LK data set (个)
本文的其它图/表
图1
常规二维卷积与深度卷积
图2
极化自注意力机制示意
图3
特征自适应融合机制示意
图4
总体网络结构示意
表1
GLFAF的部分网络结构参数
表2
Category of ground objects and sample number of UP data set (个)
表3
Category of ground objects and sample number of SA data set (个)
表5
Category of ground objects and sample number of HC data set (个)
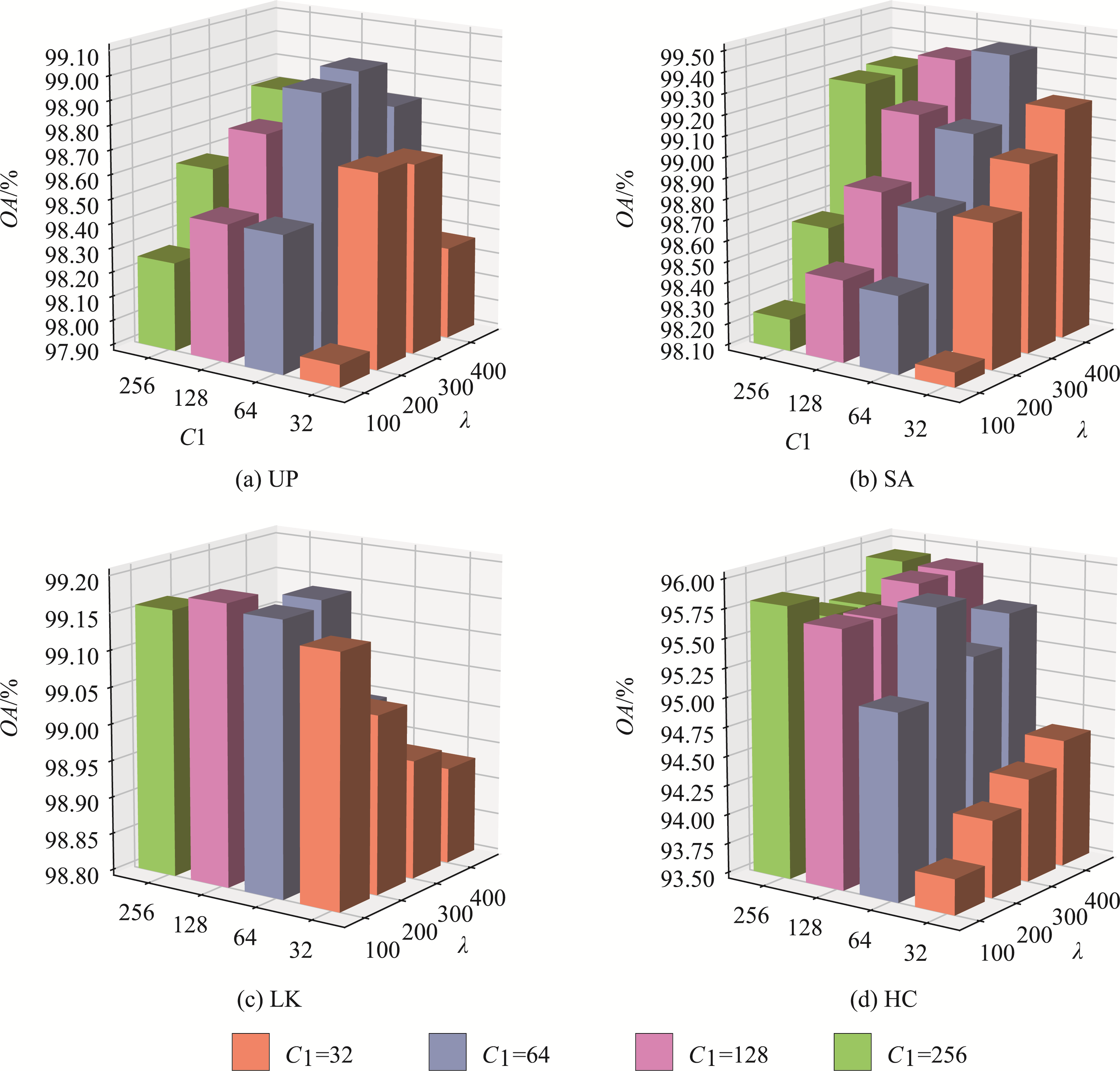
图5
4组数据集上不同网络结构对应的总体分类精度
图6
UP数据集上不同分类方法的分类结果
图7
SA数据集上不同分类方法的分类结果
图8
LK数据集上不同分类方法的分类结果
图9
HC数据集上不同分类方法的分类结果
表6
UP数据集上不同分类方法的分类结果
表7
SA数据集上不同分类方法的分类结果
表8
LK数据集上不同分类方法的分类结果
表9
HC数据集上不同分类方法的分类结果
表10
4组数据集上的消融试验结果
图10
不同分类方法在不同标记样本条件下的总体分类精度
表11
不同分类方法在4组数据集上的执行效率对比